Proporcionamos una calculadora online del área y volumen de la bipirámide cuadrada elongada (sólido de Johnson J15), calculamos su altura y demostramos las fórmulas del área y volumen.
Índice:

La calculadora aproxima el resultado con \(n\) decimales.
Lado: \(L =\)
Decimales: \(n =\)
La bipirámide cuadrada elongada o sólido de Johnson J15 es el sólido geométrico obtenido al elongar una bipirámide cuadrada (octaedro) insertando un cubo entre las bases de las pirámides:

Otras vistas del J15:

Todas las caras del J15 son polígonos regulares de igual lado: \(4\) cuadrados (procedentes del cubo) y \(8\) triángulos equiláteros (procedentes de las pirámides).
El J15 tiene \(12\) caras, \(20\) aristas y \(10\) vértices.
Nota: todas las aristas del J15 tienen la misma longitud.
Consideremos el sólido de Johnson J15 de lado \(L\).
En octaedro se calcula la altura de un octaedro regular (bipirámide cuadrada) de arista \(L\):

Lógicamente, la altura del cubo de arista \(L\) es \(L\).
Por tanto, la altura del J15 es

Desarrollo plano del sólido de Johnson J15 de lado \(L\):

El sólido está compuesto por \(8\) triángulos equiláteros y \(4\) cuadrados, todos ellos de lado \(L\).
El área de los \(8\) triángulos equiláteros de lado \(L\) es

El área de los \(4\) cuadrados de lado \(L\) es

Luego el área del J15 es

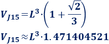
En octaedro se calcula el volumen de un octaedro regular de arista \(L\):

El volumen de un cubo de arista \(L\) es

Por tanto, el volumen del J15 es

Otras calculadoras: