Potencias

11 problemas resueltos

Primero calculamos potencias aplicando la definición de la operación de potenciación, después explicaremos y aplicaremos las siguientes propiedades de las potencias:

Potenciación: cálculo de potencias por definición y explicación y aplicación de las propiedades de las potencias: producto y cociente de potencias, potencia de una potencia, exponentes negativos, potencia de una fracción.... Ejercicios explicados para secundaria. ESO. Álgebra básica. Cálculo.

Enlace: Ejercicios interactivos (operaciones con enteros)


Definición

La potencia \(a^n\) representa el producto que tiene \(n\) veces el número \(a\). El número \(a\) se llama base y el número \(n\) se llama exponente.

Ejemplo: las primeras potencias de 2 son

Potenciación: cálculo de potencias por definición y explicación y aplicación de las propiedades de las potencias: producto y cociente de potencias, potencia de una potencia, exponentes negativos, potencia de una fracción.... Ejercicios explicados para secundaria. ESO. Álgebra básica. Cálculo.


Problema 1

Calcular las potencias \(3^2\), \(5^3\), \(11^1\), \(7^0\), \(1^{22}\), \(6^2\) y \(0^{20}\).

Resolvemos:

La potencia \(3^2\) (tres al cuadrado) es el producto de dos treses:

Potenciación: cálculo de potencias por definición y explicación y aplicación de las propiedades de las potencias: producto y cociente de potencias, potencia de una potencia, exponentes negativos, potencia de una fracción.... Ejercicios explicados para secundaria. ESO. Álgebra básica. Cálculo.

La potencia \(5^3\) (cinco al cubo) es el producto de tres cincos:

Potenciación: cálculo de potencias por definición y explicación y aplicación de las propiedades de las potencias: producto y cociente de potencias, potencia de una potencia, exponentes negativos, potencia de una fracción.... Ejercicios explicados para secundaria. ESO. Álgebra básica. Cálculo.

La potencia \(11^1\) (once elevado a uno) es el producto de un once:

Potenciación: cálculo de potencias por definición y explicación y aplicación de las propiedades de las potencias: producto y cociente de potencias, potencia de una potencia, exponentes negativos, potencia de una fracción.... Ejercicios explicados para secundaria. ESO. Álgebra básica. Cálculo.

La potencia \(7^0\) (siete elevado a cero) es el producto de cero sietes:

Potenciación: cálculo de potencias por definición y explicación y aplicación de las propiedades de las potencias: producto y cociente de potencias, potencia de una potencia, exponentes negativos, potencia de una fracción.... Ejercicios explicados para secundaria. ESO. Álgebra básica. Cálculo.

La potencia \(1^{22}\) (uno elevado a veintidós) es el producto de veintidós unos:

Potenciación: cálculo de potencias por definición y explicación y aplicación de las propiedades de las potencias: producto y cociente de potencias, potencia de una potencia, exponentes negativos, potencia de una fracción.... Ejercicios explicados para secundaria. ESO. Álgebra básica. Cálculo.

La potencia \(6^2\) (seis al cuadrado) es el producto de dos seises:

Potenciación: cálculo de potencias por definición y explicación y aplicación de las propiedades de las potencias: producto y cociente de potencias, potencia de una potencia, exponentes negativos, potencia de una fracción.... Ejercicios explicados para secundaria. ESO. Álgebra básica. Cálculo.

La potencia \(0^{20}\) (cero elevado a veinte) es el producto de veinte ceros:

Potenciación: cálculo de potencias por definición y explicación y aplicación de las propiedades de las potencias: producto y cociente de potencias, potencia de una potencia, exponentes negativos, potencia de una fracción.... Ejercicios explicados para secundaria. ESO. Álgebra básica. Cálculo.

Por lo que hemos visto, podemos decir:

Potenciación: cálculo de potencias por definición y explicación y aplicación de las propiedades de las potencias: producto y cociente de potencias, potencia de una potencia, exponentes negativos, potencia de una fracción.... Ejercicios explicados para secundaria. ESO. Álgebra básica. Cálculo.

Dicho en palabras,


Problema 2

Calcular las siguientes potencias de números negativos: \((-1)^2\), \((-2)^3\), \((-5)^2\) y \((-1)^5\).

Ayuda: utilizar la regla de los signos (el producto de números con el mismo signo es un número positivo y el producto de números con signos distintos es un número negativo).

Resolvemos:

La potencia \((-1)^2\) es el producto de dos unos negativos:

Potenciación: cálculo de potencias por definición y explicación y aplicación de las propiedades de las potencias: producto y cociente de potencias, potencia de una potencia, exponentes negativos, potencia de una fracción.... Ejercicios explicados para secundaria. ESO. Álgebra básica. Cálculo.

La potencia \((-2)^3\) es el producto de tres doses negativos:

Potenciación: cálculo de potencias por definición y explicación y aplicación de las propiedades de las potencias: producto y cociente de potencias, potencia de una potencia, exponentes negativos, potencia de una fracción.... Ejercicios explicados para secundaria. ESO. Álgebra básica. Cálculo.

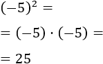
La potencia \((-5)^2\) es el producto de dos cincos negativos:

Potenciación: cálculo de potencias por definición y explicación y aplicación de las propiedades de las potencias: producto y cociente de potencias, potencia de una potencia, exponentes negativos, potencia de una fracción.... Ejercicios explicados para secundaria. ESO. Álgebra básica. Cálculo.

La potencia \((-1)^5\) es el producto de cinco unos negativos:

Potenciación: cálculo de potencias por definición y explicación y aplicación de las propiedades de las potencias: producto y cociente de potencias, potencia de una potencia, exponentes negativos, potencia de una fracción.... Ejercicios explicados para secundaria. ESO. Álgebra básica. Cálculo.

Observad que si la base de una potencia es negativa:

Esto puede resumirse como:

Potenciación: cálculo de potencias por definición y explicación y aplicación de las propiedades de las potencias: producto y cociente de potencias, potencia de una potencia, exponentes negativos, potencia de una fracción.... Ejercicios explicados para secundaria. ESO. Álgebra básica. Cálculo.


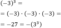
Problema 3

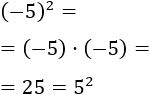
Comprobar que \((-3)^3 = -(3^3)\) y que \((-5)^2 = 5^2\).

Resolvemos:

La potencia \((-3)^3\) es el producto de tres treses negativos:

Potenciación: cálculo de potencias por definición y explicación y aplicación de las propiedades de las potencias: producto y cociente de potencias, potencia de una potencia, exponentes negativos, potencia de una fracción.... Ejercicios explicados para secundaria. ESO. Álgebra básica. Cálculo.

La potencia \((-5)^2\) es el producto de dos cincos negativos:

Potenciación: cálculo de potencias por definición y explicación y aplicación de las propiedades de las potencias: producto y cociente de potencias, potencia de una potencia, exponentes negativos, potencia de una fracción.... Ejercicios explicados para secundaria. ESO. Álgebra básica. Cálculo.

Exponente negativo

La potencia de un número distinto de 0 elevado a -1 es igual a su inverso:

Potenciación: cálculo de potencias por definición y explicación y aplicación de las propiedades de las potencias: producto y cociente de potencias, potencia de una potencia, exponentes negativos, potencia de una fracción.... Ejercicios explicados para secundaria. ESO. Álgebra básica. Cálculo.

La potencia de un número distinto de 0 elevado al número negativo \(-n\) es el inverso del número elevado a \(n\):

Potenciación: cálculo de potencias por definición y explicación y aplicación de las propiedades de las potencias: producto y cociente de potencias, potencia de una potencia, exponentes negativos, potencia de una fracción.... Ejercicios explicados para secundaria. ESO. Álgebra básica. Cálculo.


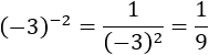
Problema 4

Calcular las siguientes potencias con exponente negativo:

Potenciación: cálculo de potencias por definición y explicación y aplicación de las propiedades de las potencias: producto y cociente de potencias, potencia de una potencia, exponentes negativos, potencia de una fracción.... Ejercicios explicados para secundaria. ESO. Álgebra básica. Cálculo.

Resolvemos:

La potencia \(7^{-1}\) es el inverso de 7:

Potenciación: cálculo de potencias por definición y explicación y aplicación de las propiedades de las potencias: producto y cociente de potencias, potencia de una potencia, exponentes negativos, potencia de una fracción.... Ejercicios explicados para secundaria. ESO. Álgebra básica. Cálculo.

La potencia \(5^{-2}\) es el inverso de \(5^2\):

Potenciación: cálculo de potencias por definición y explicación y aplicación de las propiedades de las potencias: producto y cociente de potencias, potencia de una potencia, exponentes negativos, potencia de una fracción.... Ejercicios explicados para secundaria. ESO. Álgebra básica. Cálculo.

La potencia \(2^{-3}\) es el inverso de \(2^3\):

Potenciación: cálculo de potencias por definición y explicación y aplicación de las propiedades de las potencias: producto y cociente de potencias, potencia de una potencia, exponentes negativos, potencia de una fracción.... Ejercicios explicados para secundaria. ESO. Álgebra básica. Cálculo.

La potencia \((-3)^{-2}\) es el inverso de \((-3)^2\):

Potenciación: cálculo de potencias por definición y explicación y aplicación de las propiedades de las potencias: producto y cociente de potencias, potencia de una potencia, exponentes negativos, potencia de una fracción.... Ejercicios explicados para secundaria. ESO. Álgebra básica. Cálculo.

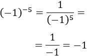
La potencia \((-1)^{-5}\) es el inverso de \((-1)^5\):

Potenciación: cálculo de potencias por definición y explicación y aplicación de las propiedades de las potencias: producto y cociente de potencias, potencia de una potencia, exponentes negativos, potencia de una fracción.... Ejercicios explicados para secundaria. ESO. Álgebra básica. Cálculo.

La potencia \((-2)^{-3}\) es el inverso de la potencia \((-2)^3\):

Potenciación: cálculo de potencias por definición y explicación y aplicación de las propiedades de las potencias: producto y cociente de potencias, potencia de una potencia, exponentes negativos, potencia de una fracción.... Ejercicios explicados para secundaria. ESO. Álgebra básica. Cálculo.

Producto y cociente de potencias

El producto de dos potencias con la misma base es la potencia de dicha base y cuyo exponente es la suma de los exponentes:

Potenciación: cálculo de potencias por definición y explicación y aplicación de las propiedades de las potencias: producto y cociente de potencias, potencia de una potencia, exponentes negativos, potencia de una fracción.... Ejercicios explicados para secundaria. ESO. Álgebra básica. Cálculo.

El cociente de dos potencias con la misma base es la potencia de dicha base y cuyo exponente es la resta de los exponentes:

Potenciación: cálculo de potencias por definición y explicación y aplicación de las propiedades de las potencias: producto y cociente de potencias, potencia de una potencia, exponentes negativos, potencia de una fracción.... Ejercicios explicados para secundaria. ESO. Álgebra básica. Cálculo.


Problema 5

Calcular los siguientes productos de potencias:

Potenciación: cálculo de potencias por definición y explicación y aplicación de las propiedades de las potencias: producto y cociente de potencias, potencia de una potencia, exponentes negativos, potencia de una fracción.... Ejercicios explicados para secundaria. ESO. Álgebra básica. Cálculo.

Resolvemos:

Los dos primeros productos se calculan rápidamente. El primero es el producto de dos potencias con base 2:

Potenciación: cálculo de potencias por definición y explicación y aplicación de las propiedades de las potencias: producto y cociente de potencias, potencia de una potencia, exponentes negativos, potencia de una fracción.... Ejercicios explicados para secundaria. ESO. Álgebra básica. Cálculo.

El segundo es el producto de cuatro potencias con base 5:

Potenciación: cálculo de potencias por definición y explicación y aplicación de las propiedades de las potencias: producto y cociente de potencias, potencia de una potencia, exponentes negativos, potencia de una fracción.... Ejercicios explicados para secundaria. ESO. Álgebra básica. Cálculo.

En el tercero tenemos dos bases distintas:

Potenciación: cálculo de potencias por definición y explicación y aplicación de las propiedades de las potencias: producto y cociente de potencias, potencia de una potencia, exponentes negativos, potencia de una fracción.... Ejercicios explicados para secundaria. ESO. Álgebra básica. Cálculo.

En el cuarto tenemos tres bases distintas:

Potenciación: cálculo de potencias por definición y explicación y aplicación de las propiedades de las potencias: producto y cociente de potencias, potencia de una potencia, exponentes negativos, potencia de una fracción.... Ejercicios explicados para secundaria. ESO. Álgebra básica. Cálculo.



Problema 6

Calcular los siguientes cocientes de potencias:

Potenciación: cálculo de potencias por definición y explicación y aplicación de las propiedades de las potencias: producto y cociente de potencias, potencia de una potencia, exponentes negativos, potencia de una fracción.... Ejercicios explicados para secundaria. ESO. Álgebra básica. Cálculo.

Resolvemos:

En las divisiones, cuando las bases son iguales, se restan los exponentes:

Potenciación: cálculo de potencias por definición y explicación y aplicación de las propiedades de las potencias: producto y cociente de potencias, potencia de una potencia, exponentes negativos, potencia de una fracción.... Ejercicios explicados para secundaria. ESO. Álgebra básica. Cálculo.

Si un número no tiene exponente, es porque su exponente es 1:

Potenciación: cálculo de potencias por definición y explicación y aplicación de las propiedades de las potencias: producto y cociente de potencias, potencia de una potencia, exponentes negativos, potencia de una fracción.... Ejercicios explicados para secundaria. ESO. Álgebra básica. Cálculo.

Al igual que en el producto, si las bases son distintas, tenemos que agrupar las potencias:

Potenciación: cálculo de potencias por definición y explicación y aplicación de las propiedades de las potencias: producto y cociente de potencias, potencia de una potencia, exponentes negativos, potencia de una fracción.... Ejercicios explicados para secundaria. ESO. Álgebra básica. Cálculo.

En el siguiente cociente hay tres bases distintas:

Potenciación: cálculo de potencias por definición y explicación y aplicación de las propiedades de las potencias: producto y cociente de potencias, potencia de una potencia, exponentes negativos, potencia de una fracción.... Ejercicios explicados para secundaria. ESO. Álgebra básica. Cálculo.

Potencia de una potencia

La potencia de una potencia con base \(a\) es la potencia con base \(a\) y cuyo exponente es el producto de los exponentes:

Potenciación: cálculo de potencias por definición y explicación y aplicación de las propiedades de las potencias: producto y cociente de potencias, potencia de una potencia, exponentes negativos, potencia de una fracción.... Ejercicios explicados para secundaria. ESO. Álgebra básica. Cálculo.

Problema 7

Calcula las siguientes potencias de potencias:

Potenciación: cálculo de potencias por definición y explicación y aplicación de las propiedades de las potencias: producto y cociente de potencias, potencia de una potencia, exponentes negativos, potencia de una fracción.... Ejercicios explicados para secundaria. ESO. Álgebra básica. Cálculo.

Resolvemos:

Sólo tenemos que multiplicar los exponentes.

Calculamos el cubo de dos al cuadrado:

Potenciación: cálculo de potencias por definición y explicación y aplicación de las propiedades de las potencias: producto y cociente de potencias, potencia de una potencia, exponentes negativos, potencia de una fracción.... Ejercicios explicados para secundaria. ESO. Álgebra básica. Cálculo.

Calculamos el cuadrado de tres al cuadrado:

Potenciación: cálculo de potencias por definición y explicación y aplicación de las propiedades de las potencias: producto y cociente de potencias, potencia de una potencia, exponentes negativos, potencia de una fracción.... Ejercicios explicados para secundaria. ESO. Álgebra básica. Cálculo.

Calculamos la potencia de una potencia de base menos uno:

Potenciación: cálculo de potencias por definición y explicación y aplicación de las propiedades de las potencias: producto y cociente de potencias, potencia de una potencia, exponentes negativos, potencia de una fracción.... Ejercicios explicados para secundaria. ESO. Álgebra básica. Cálculo.

Para terminar, calculamos el cuadrado de un cociente de potencias:

Potenciación: cálculo de potencias por definición y explicación y aplicación de las propiedades de las potencias: producto y cociente de potencias, potencia de una potencia, exponentes negativos, potencia de una fracción.... Ejercicios explicados para secundaria. ESO. Álgebra básica. Cálculo.

Nota: en esta última potencia hemos podido calcular el cuadrado de un cociente al simplificar el cociente ya que el numerador y denominador son potencias con la misma base. Ahora veremos cómo calcular potencias de cocientes.

Potencia del producto y del cociente

La potencia de un producto de factores es igual al producto de las potencias de los factores:

Potenciación: cálculo de potencias por definición y explicación y aplicación de las propiedades de las potencias: producto y cociente de potencias, potencia de una potencia, exponentes negativos, potencia de una fracción.... Ejercicios explicados para secundaria. ESO. Álgebra básica. Cálculo.

La potencia de un cociente de números es igual al cociente de las potencias de los números:

Potenciación: cálculo de potencias por definición y explicación y aplicación de las propiedades de las potencias: producto y cociente de potencias, potencia de una potencia, exponentes negativos, potencia de una fracción.... Ejercicios explicados para secundaria. ESO. Álgebra básica. Cálculo.

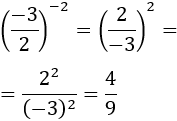
Problema 8

Calcular las siguientes potencias de fracciones:

Potenciación: cálculo de potencias por definición y explicación y aplicación de las propiedades de las potencias: producto y cociente de potencias, potencia de una potencia, exponentes negativos, potencia de una fracción.... Ejercicios explicados para secundaria. ESO. Álgebra básica. Cálculo.

Resolvemos:

Calculamos la potencia \(\left(\frac{2}{3}\right)^3\):

Potenciación: cálculo de potencias por definición y explicación y aplicación de las propiedades de las potencias: producto y cociente de potencias, potencia de una potencia, exponentes negativos, potencia de una fracción.... Ejercicios explicados para secundaria. ESO. Álgebra básica. Cálculo.

Calculamos la potencia \(\left(\frac{5}{3}\right)^2\):

Potenciación: cálculo de potencias por definición y explicación y aplicación de las propiedades de las potencias: producto y cociente de potencias, potencia de una potencia, exponentes negativos, potencia de una fracción.... Ejercicios explicados para secundaria. ESO. Álgebra básica. Cálculo.

Calculamos la potencia \(\left(\frac{3}{2}\right)^4\):

Potenciación: cálculo de potencias por definición y explicación y aplicación de las propiedades de las potencias: producto y cociente de potencias, potencia de una potencia, exponentes negativos, potencia de una fracción.... Ejercicios explicados para secundaria. ESO. Álgebra básica. Cálculo.

Potencia de una fracción con exponente negativo

El resultado de elevar una fracción a -1 es la fracción inversa (intercambiar el numerador y el denominador):

Potenciación: cálculo de potencias por definición y explicación y aplicación de las propiedades de las potencias: producto y cociente de potencias, potencia de una potencia, exponentes negativos, potencia de una fracción.... Ejercicios explicados para secundaria. ESO. Álgebra básica. Cálculo.

La potencia de una fracción con exponente negativo \(-n\) es la potencia del inverso de la fracción con exponente \(n\):

Potenciación: cálculo de potencias por definición y explicación y aplicación de las propiedades de las potencias: producto y cociente de potencias, potencia de una potencia, exponentes negativos, potencia de una fracción.... Ejercicios explicados para secundaria. ESO. Álgebra básica. Cálculo.


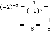
Problema 9

Calcular las siguientes potencias cuyos exponentes son negativos:

Potenciación: cálculo de potencias por definición y explicación y aplicación de las propiedades de las potencias: producto y cociente de potencias, potencia de una potencia, exponentes negativos, potencia de una fracción.... Ejercicios explicados para secundaria. ESO. Álgebra básica. Cálculo.

Resolvemos:

Escribimos la potencia \((2\cdot 3)^{-3}\) como el producto de las potencias:

Potenciación: cálculo de potencias por definición y explicación y aplicación de las propiedades de las potencias: producto y cociente de potencias, potencia de una potencia, exponentes negativos, potencia de una fracción.... Ejercicios explicados para secundaria. ESO. Álgebra básica. Cálculo.

La potencia de una fracción con exponente negativo -3 es la potencia del inverso con exponente 3:

Potenciación: cálculo de potencias por definición y explicación y aplicación de las propiedades de las potencias: producto y cociente de potencias, potencia de una potencia, exponentes negativos, potencia de una fracción.... Ejercicios explicados para secundaria. ESO. Álgebra básica. Cálculo.

Repetimos los pasos:

Potenciación: cálculo de potencias por definición y explicación y aplicación de las propiedades de las potencias: producto y cociente de potencias, potencia de una potencia, exponentes negativos, potencia de una fracción.... Ejercicios explicados para secundaria. ESO. Álgebra básica. Cálculo.

Repetimos el proceso, pero ahora tenemos una base negativa:

Potenciación: cálculo de potencias por definición y explicación y aplicación de las propiedades de las potencias: producto y cociente de potencias, potencia de una potencia, exponentes negativos, potencia de una fracción.... Ejercicios explicados para secundaria. ESO. Álgebra básica. Cálculo.


Problema 10

Escribir los siguientes números como productos de potencias cuyas bases sean números primos: 56, 60 y 90.

Resolvemos:

Descomponemos el número 56:

Potenciación: cálculo de potencias por definición y explicación y aplicación de las propiedades de las potencias: producto y cociente de potencias, potencia de una potencia, exponentes negativos, potencia de una fracción.... Ejercicios explicados para secundaria. ESO. Álgebra básica. Cálculo.

Descomponemos el número 60:

Potenciación: cálculo de potencias por definición y explicación y aplicación de las propiedades de las potencias: producto y cociente de potencias, potencia de una potencia, exponentes negativos, potencia de una fracción.... Ejercicios explicados para secundaria. ESO. Álgebra básica. Cálculo.

Descomponemos el número 90:

Potenciación: cálculo de potencias por definición y explicación y aplicación de las propiedades de las potencias: producto y cociente de potencias, potencia de una potencia, exponentes negativos, potencia de una fracción.... Ejercicios explicados para secundaria. ESO. Álgebra básica. Cálculo.

Las propiedades de las potencias nos permiten simplificar operaciones.


Problema 11

Simplificar la siguiente operación entre potencias escribiendo las bases como productos de números primos:

Potenciación: cálculo de potencias por definición y explicación y aplicación de las propiedades de las potencias: producto y cociente de potencias, potencia de una potencia, exponentes negativos, potencia de una fracción.... Ejercicios explicados para secundaria. ESO. Álgebra básica. Cálculo.

Resolvemos:

Si tuviésemos que calcular la operación sin simplificarla, tenríamos que operar con números muy grandes. Vamos a aplicar las propiedades que hemos visto para simplificarla.

El primer paso es escribir las bases como productos. El número 6 puede escribirse como \(2\cdot 3\), el número 20 como \(2^2 \cdot 5\), el número 125 como \(5^3\), el número 25 como \(5^2\) y el número 12 como \(3\cdot 2^2\):

Potenciación: cálculo de potencias por definición y explicación y aplicación de las propiedades de las potencias: producto y cociente de potencias, potencia de una potencia, exponentes negativos, potencia de una fracción.... Ejercicios explicados para secundaria. ESO. Álgebra básica. Cálculo.

Ahora aplicamos la propiedad de la potencia de un producto:

Potenciación: cálculo de potencias por definición y explicación y aplicación de las propiedades de las potencias: producto y cociente de potencias, potencia de una potencia, exponentes negativos, potencia de una fracción.... Ejercicios explicados para secundaria. ESO. Álgebra básica. Cálculo.

Ahora calculamos los productos y cocientes de las potencias que tienen base común (los exponentes del numerador suman y los del denominador restan):

Potenciación: cálculo de potencias por definición y explicación y aplicación de las propiedades de las potencias: producto y cociente de potencias, potencia de una potencia, exponentes negativos, potencia de una fracción.... Ejercicios explicados para secundaria. ESO. Álgebra básica. Cálculo.



Más problemas similares: Calcular y simplificar potencias




Problemas y Ecuaciones ©