En esta página resolvemos 15 problemas sobre ecuaciones de segundo grado. En la mayoría de los problemas se pide calcular las soluciones de las ecuaciones. Las últimas 4 ecuaciones tienen soluciones complejas.
La forma general de una ecuación de segundo grado es:
Es importante que el coeficiente \(a\) no sea 0, porque en tal caso, ya no sería una ecuación de segundo grado.
Se llama discriminante de la ecuación a
El signo de \(\Delta\) nos permite conocer el tipo de soluciones de la ecuación:
Si \(\Delta > 0\), hay dos soluciones reales distintas.
Si \(\Delta = 0\), hay una única solución real.
Si \(\Delta < 0\), no hay soluciones reales (hay dos soluciones complejas distintas).
Ejemplos de ecuaciones de segundo grado:
Por comodidad, resolveremos la ecuación de tres formas distintas según los valores de los coeficientes \(b\) y \(c\).
Si \(b\), \(c\neq 0\), se dice que la ecuación es completa y sus soluciones las proporciona la fórmula
En los siguientes casos, las ecuaciones se dice que son incompletas:
Si \(b = 0\), la ecuación es de la forma
Despejando \(x^2\) y tomando raíces, las soluciones son
Si \(c = 0\), la ecuación es de la forma
Para calcular las soluciones, extraemos el factor común \(x\):
Como una multiplicación es 0 si alguno de sus factores es 0, las soluciones son
Si \(b = c = 0\), la ecuación es de la forma
La única solución es
Las soluciones reales (o solución), si las hay, de la ecuación de segundo grado \(ax^2 + bx + c = 0\) son las ordenadas (primera coordenada) de los puntos de corte de la función parábola \(y = ax^2 + bx + c \) con el eje X.

Determinar el tipo y número de soluciones de la ecuación
Es una ecuación de segundo grado completa.
La fórmula del discriminante es
Como los coeficientes son \(a = 3\), \(b=-5\) y \(c=1\), el discriminante es
El discriminante es positivo, así que la ecuación tiene dos soluciones reales distintas.
No hemos calculado las soluciones porque no se pide en el problema, pero son
$$ x_1 = \frac{5}{6} - \frac{\sqrt{13}}{6}$$
$$ x_2 = \frac{5}{6} + \frac{\sqrt{13}}{6}$$
Gráfica de la función \(y = 3x^2 - 5x + 1\):
Observad que, como hay dos soluciones reales, hay dos puntos de corte con el eje X.

Determinar el tipo y número de soluciones de la ecuación
Es una ecuación completa.
La fórmula del discriminante es
Como los coeficientes son \(a = 1\), \(b=1\) y \(c=1\), el discriminante es
El discriminante es negativo, así que la ecuación no tiene soluciones reales. Tiene dos soluciones complejas distintas:
$$ x_1 = -\frac{1}{2} - i\cdot \frac{\sqrt{3}}{2}$$
$$ x_2 = -\frac{1}{2} + i\cdot \frac{\sqrt{3}}{2}$$
Gráfica de la función \(y = x^2 + x + 1\):
Observad que, como no hay soluciones reales, no hay puntos de corte con el eje X.

Determinar el tipo y número de soluciones de la ecuación
Es una ecuación completa.
La fórmula del discriminante es
Como los coeficientes son \(a = 1\), \(b=-4\) y \(c=4\), el discriminante es
El discriminante es nulo, así que la ecuación tiene una única solución real.
La solución es \(x = 2\).
Gráfica de la función \(y = x^2 -4x +4\):
Como solo hay una solución real, sólo hay un punto de corte con el eje X y, además, coincide con el vértice de la parábola.

Resolver la ecuación de segundo grado incompleta
Es una ecuación incompleta porque \(c=0\). Extraemos el factor común \(x\) para calcular las soluciones:
La ecuación tiene dos soluciones reales distintas: \( x_1=0\) y \(x_2= -4\).
Observad que el discriminante es 0: \(\Delta = 4^2 -4\cdot 4\).
Gráfica de la función \(y = x^2 + 4x \):
Observad que la primera coordenada de los puntos de corte con el eje X son las soluciones de la ecuación.

Encontrar las raíces de la función polinómica de segundo grado
Las raíces del polinomio \(f\) son los valores de \(x\) para los que \(f(x)\) es 0, es decir, son las soluciones de la ecuación
La ecuación es incompleta y la podemos resolver rápidamente tomando raíces cuadradas:
Simplificamos:
La ecuación tiene dos soluciones reales distintas y son las raíces de la función polinómica: \( x_1= 3\sqrt{2}\) y \(x_2=-3\sqrt{2}\).
Gráfica de la función \(f(x) = x^2 -18 \):

Resolver la siguiente ecuación de segundo grado completa y escribirla en forma factorizada:
Es una ecuación completa con coeficientes \(a = 1\), \(b = 3\) y \(c=2\).
Aplicamos la fórmula para calcular las soluciones:
Por tanto, las soluciones son \(x_1 =-1\) y \(x_2 = -2\).
Si \(x_1\) y \(x_2\) son las soluciones de la ecuación \(ax^2 + bx + c = 0\), entonces su forma factorizada es
$$ a\cdot (x-x_1)\cdot (x - x_2) = 0 $$
Si solo tiene una solución \(x_1\), entonces es
$$ a\cdot (x-x_1)^2 = 0 $$
Factorizamos la ecuación del problema:
$$ x^2 + 3x + 2 = (x+1)(x+2) = 0$$
Gráfica de la función \(y = x^2 +3x + 2\):

Resolver y factorizar la ecuación
Tenemos una ecuación de segundo grado, pero no se encuentra en su forma general \(ax^2 + bx + c = 0\). Es fácil conseguir dicha forma operando un poco:
La forma general es, pues, \(x^2 -1 =0\).
Es una ecuación incompleta. Para resolverla, calculamos la raíz cuadrada:
Las soluciones son \(x_1 = 1\) y \(x_2=-1\).
Factorizamos la ecuación:
$$ x^2 - 1 = (x+1)(x-1)$$
Gráfica de la función \(y = x^2 -1\):

Resolver la ecuación completa
Es una ecuación completa con coeficientes \(a = 5\), \(b = -20\) y \(c=15\).
Aplicamos la fórmula para calcular las soluciones:
Las soluciones de la ecuación son \(x_1 = 3\) y \(x_2= 1 \).
Gráfica de la función \(y = 5x^2 - 20x + 15\):

Factorizar el polinomio
Deducir las raíces del polinomio a partir de la factorización.
Normalmente, para factorizar, igualamos a 0 el polinomio y buscamos las soluciones. Sin embargo, este polinomio es muy sencillo de factorizar porque podemos extraer factor común de 2 y de \(x\):
La factorización es \(Q(x) = 2x(x-3)\).
Las raíces de \(Q(x)\) son los valres de \(x\) para los que \(Q(x)=0\). Es decir, son las soluciones de la ecuación
$$ 2x(x-3) = 0 $$
Un producto de dos factores es 0 cuando alguno de los factores es 0. Por tanto, las raíces del polinomio son \(x=0\) y \(x = 3\).
Gráfica de la función \(Q(x) = 2x^2 - 6x \):

Encontrar las raíces del polinomio
Para encontrar las raíces, igualamos el polinomio a 0:
Tenemos una ecuación completa con coeficientes \(a = 5\), \(b = -15\) y \(c=-50\).
Aplicamos la fórmula:
Las raíces del polinomio son \(x_1 = -2\) y \(x_2=5\).
Gráfica de la función \(y = 5x^2 - 15x - 50\):

Resolver la ecuación de segundo grado completa
Es una ecuación completa con coeficientes \(a = 2\), \(b = 5\) y \(c=2\).
Aplicamos la fórmula:
Las soluciones de la ecuación son \(x_1 = -1/2\) y \(x_2 = -2\).
Gráfica de la función \(y = 2x^2 + 5x + 2\):

Resolver la ecuación
Es una ecuación incompleta y no tiene soluciones reales porque su discriminante es \(\Delta = -4 < 0\).
Despejamos \(x\) para calcular las soluciones tomando raíces y teniendo en cuenta que la unidad imaginaria es \( i = \sqrt{-1}\):
Las soluciones de la ecuación son imaginarias: \(x_1 = i\) y \(x_2 = -i\).
Gráfica de la función \(y = x^2 + 1\):
Al no tener soluciones reales, la parábola no corta el eje X.

Resolver la ecuación
Es una ecuación completa con coeficientes \(a = 1\), \(b = 1\) y \(c=1\).
El discriminante de la ecuación es \(\Delta = -3 < 0\), así que no tiene soluciones reales.
Como la ecuación es completa, aplicamos la fórmula para calcular las soluciones complejas:
Gráfica de la función \(y = x^2 + x + 1\):

Resolver la ecuación
Es una ecuación completa con coeficientes \(a = 1\), \(b = -2\) y \(c=2\) y su discriminante es \(\Delta = 2^2 -4·2 = -4\), así que no tiene soluciones reales.
Aplicamos la fórmula para calcular las soluciones complejas:
Las soluciones de la ecuación son \(1\pm i\).
Gráfica de la función \(y = x^2 - 2x + 2\):

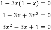
Resolver la ecuación
Antes que nada, operamos en la ecuación para obtener su forma general:
Es una ecuación completa con coeficientes \(a = 3\), \(b = -3\) y \(c=1\) y su discriminante es \(\Delta = -3\), por lo que no tiene soluciones reales.
Aplicamos la fórmula:
Gráfica de la función \(y = 3x^2 - 3x + 1\):