Proporcionamos tres calculadoras para calcular el área y el perímetro de un dodecágono regular. Además, definimos dodecágono regular y demostramos las fórmulas del área y del perímetro del mismo, escribiéndolas en función del lado, de la apotema y del radio de la circunferencia circunscrita.
Índice:

Disponemos de 3 calculadoras para calcular el perímetro y el área de un dodecágono regular según los datos de qué disponemos:
Las calculadoras aproximan el resultado con \(n\) decimales.
Lado: \(L =\)
Decimales: \(n =\)
Apotema: \(a_p =\)
Decimales: \(n =\)
Radio: \(r =\)
Decimales: \(n =\)
Un dodecágono es un polígono de \(12\) lados y \(12\) vértices. Es regular si todos los lados miden lo mismo y los ángulos interiores son de \(150^\circ\) (\(5\pi /6\) radianes):

La apotema (\(a_p\)) de un polígono regular es la distancia de cualquiera de sus lados al centro del polígono:

Observad que la apotema une el punto medio de cada lado con el centro del polígono.
La apotema de un dodecágono regular de lado \(L\) es

Dividimos el dodecágono en \(12\) triángulos isósceles con lados \(r\) y base \(L\):

Observad que \(r\) es el radio de la circunferencia circunscrita.
Dos ángulos del triángulo isósceles son de \(75^\circ\) (son la mitad de los ángulos interiores del polígono) y el tercer ángulo es de \(30^\circ\) (ya que \(360^\circ /12 = 30^\circ \)).
Si dividimos este triángulo isósceles por la mitad, obtenemos dos triángulos rectángulos de base \(L/2\), altura \(a_p\) e hipotenusa \(r\):

Por aplicación del teorema del seno,

Es decir,

De donde obtenemos la apotema en función del lado:

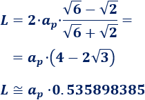
O el lado en función de la apotema:

Como un dodecágono tiene \(12\) lados, el perímetro de un dodecágono regular de lado \(L\) es

O bien, en función de la apotema,

El área del dodecágono regular es \(12\) veces el área del triángulo isósceles que vimos anteriormente.
Dicho triángulo tiene altura \(a_p\) y base \(L\), por lo que el área del dodecágono es

Sustituyendo, el área del dodecágono en función del lado es

Y en función de la apotema es

Otras calculadoras: