Proporcionamos dos calculadoras online para calcular el área y el volumen de un prisma hexagonal regular (recto y con bases regulares) a partir de su lado y su altura o de su altura y su apotema. También, demostramos las fórmulas del área y del volumen.
Índice:
Disponemos de dos calculadoras según los datos que conocemos: lado (\(L\)) o apotema (\(a_p\)) de la base. Ambas calculadoras requieren la altura del prisma (\(h\)).
Las calculadoras aproximan el resultado con \(n\) decimales.

Lado \(L =\)
Altura \(h =\)
Decimales \(n =\)
Apotema \(a_p =\)
Altura \(h =\)
Decimales \(n =\)
Fórmulas utilizadas (demostradas más adelante):

Un prisma hexagonal regular es un prisma recto cuyas bases son hexágonos regulares iguales:

Nota: decimos regular para indicar que las bases son polígonos regulares.
Este prisma tiene \(8\) caras (\(2\) bases y \(6\) caras laterales), \(18\) aristas y \(12\) vértices:

La altura es la distancia entre las dos bases del prisma (coincide con la longitud de las aristas laterales en el prisma recto).
Como las bases son polígonos regulares iguales, las \(6\) caras laterales son rectángulos iguales.
Además, llamamos apotema (\(a_p\)) a la distancia entre el centro de la base y cualquiera de sus lados:

Nota: el prisma es oblicuo cuando las aristas laterales del prisma no forman un ángulo recto con las bases. En este caso, las caras laterales ya no son rectángulos y la fórmula del área no es la misma.

Observad que la arista lateral del prisma oblicuo no coincide con la altura del prisma.
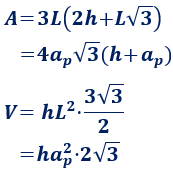
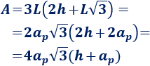
El área de un prisma hexagonal regular de altura \(h\) y lado \(L\) es

O bien, si conocemos la altura \(h\) y la apotema \(a_p\),

Desarrollo plano del prisma:

El área es la suma de las áreas de las caras laterales y de las bases.
Primera fórmula:
Las caras laterales son \(6\) rectángulos iguales de base \(L\) y altura \(h\), así que el área total de las caras es

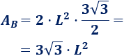
Las bases son \(2\) hexágonos regulares de lado \(L\), así que su área total es

Como consecuencia, el área del prisma es

Segunda fórmula:
Veamos primero que el lado \(L\) en función de la apotema \(a_p\) es

Dividimos el hexágono en \(12\) triángulos rectángulos iguales (a partir de sus vértices), de modo que un cateto es una apotema y el otro la mitad de un lado del hexágono:

Por el teorema del seno,

De donde

Sustituimos el lado \(L\) en la fórmula anterior del área:

El volumen de un prisma hexagonal regular de altura \(h\) y lado \(L\) es

O bien, si conocemos la altura \(h\) y la apotema \(a\),

Primera fórmula:
Como se trata de un prisma recto con bases iguales, el volumen es el producto del área de la base por la altura:

Segunda fórmula:
Multiplicamos el área de la base (en función de la apotema) por la altura:

Otras calculadoras: