Proporcionamos tres calculadoras online para calcular el perímetro y el área de un rombo en función de los datos de los que disponemos. Después, recordamos algunos conceptos del rombo, las fórmulas para calcular su perímetro y demostramos cuatro fórmulas para calcular su área. También, proporcionamos algunos problemas resueltos.
Índice:
Tenemos 3 calculadoras según los datos de los que disponemos:
Nota: las calculadoras aproximan el resultado con 2 decimales.

Introduce las diagonales (no importa el orden):
\(D =\)
\(d =\)
Hemos usado las fórmulas


Introduce el lado (\(L\)) y la altura (\(h\)):
\(L =\)
\(h =\)
Hemos usado las fórmulas


Introduce el lado (\(L\)) y el ángulo en grados (\(\alpha\)):
\(L =\)
\(\alpha =\) º
Hemos usado las fórmulas

Recordamos algunos conceptos/propiedades:
Rombo de lado \(2\) y ángulos de \(60^\circ\) y de \(120^\circ\):

La suma de los ángulos es \(360^\circ\):


En rojo, \(D\), la diagonal mayor; en verde, \(d\), la diagonal menor.

Observad que la altura \(h\) debe formar ángulos rectos con los lados que une.


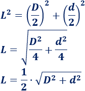
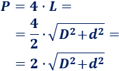
La segunda fórmula se obtiene por por aplicación del teorema de Pitágoras:

Al aplicar el teorema,

Por tanto, el perímetro es

Básicamente, existen cuatro fórmulas para calcular el área. Vamos a proporcionarlas y a demostrarlas.
El área del rombo es la mitad del producto de sus diagonales (\(D\) y \(d\)):

Demostración:
Las diagonales dividen el rombo en cuatro triángulos rectángulos iguales:

En cada triángulo, uno de los catetos mide \(D/2\) y el otro mide \(d/2\). Por tanto, el área de cada triángulo es

El área del rombo es el área de los cuatro triángulos:

El área del rombo es igual al producto de uno de sus lados \(L\) y de la distancia de dicho lado al vértice opuesto \(d\) (altura):

Demostración:
Observad que el área del siguiente triángulo coloreado es la mitad del área del rombo:

El área de este triángulo es la mitad del producto de la base \(L\) por su altura \(h\):

El área del rombo es el doble del área del triángulo:

El área del rombo es igual al producto de dos de sus lados contiguos \(L\) y el seno del ángulo \(\alpha\) que forman entre ellos:

Demostración:

El seno del ángulo \(\alpha\) es \(h\) entre \(L\):

Multiplicamos por \(L^2\):

Ya vimos en la fórmula anterior que \(L·h\) es el área del rombo, así que

El área del rombo es su semiperímetro multiplicado por el radio \(R\) de la circunferencia inscrita en el rombo:

El semiperímetro del rombo es la mitad de su perímetro, es decir, \(P/2 = 2·L\).
Demostración:
Anteriormente vimos que la altura del rombo \(h\) es el diámetro de la circunferencia inscrita. Como el diámetro es el doble de radio \(R\), entonces

También, vimos que el área del rombo es su lado por la altura:

Por tanto,


Calcular el área del rombo cuyas diagonales miden \(1\) y \(3\) metros.
Calculamos el área a partir de las diagonales (primera fórmula):

El área del rombo es \(1.5\text{ m}^2\).

Calcular el área del rombo de lado \(6\text{ mm}\) y altura \(5.94\text{ mm}\).
Calculamos el área a partir del lado y la altura (segunda fórmula):

El área del rombo es \(35.64\text{ mm}^2\).

Calcular el área del rombo de lado \(4.39\text{ cm}\) y de ángulos \(30^\circ\) y \(150^\circ\).
Calculamos el área a partir de sus lados y de uno de los ángulos (tercera fórmula).
Si usamos el ángulo de \(30^\circ\),

El área del rombo es \(9.64\text{ cm}^2\).
Si usamos el ángulo de \(150^\circ\), obtenemos el mismo resultado:


Calcular el área del rombo de perímetro \(9\text{ mm}\) que tiene inscrito un círculo cuya área es \(1.25\pi \text{ mm}^2\).
Calculamos el área a partir de su semiperímetro y del radio del círculo (cuarta fórmula).
Podemos obtener el radio del círculo a partir de su área:

Por tanto, el radio es \(R = 1.12 \text{ mm}\).
El semiperímetro es la mitad del perímetro:

Por tanto,

El área del rombo es \(5.04 \text{ mm}^2\).
Más problemas similares: