Proporcionamos una calculadora online del área y volumen de la bipirámide triangular elongada (sólido de Johnson J14), calculamos su altura y demostramos las fórmulas del área y volumen.
Índice:

La calculadora aproxima el resultado con \(n\) decimales.
Lado: \(L =\)
Decimales: \(n =\)
La bipirámide triangular elongada o sólido de Johnson J14 es el sólido geométrico obtenido al elongar una bipirámide triangular (sólido J12) insertando un prisma triangular entre las bases de las pirámides:

Otras vistas del J14:

Todas las caras del J14 son polígonos regulares de igual lado: \(6\) triángulos equiláteros (procedentes de las pirámides) y \(3\) cuadrados (procedentes del prisma).
El J14 tiene \(9\) caras, \(15\) aristas y \(8\) vértices.
Nota: todas las aristas del J14 tienen la misma longitud.
Consideremos el sólido de Johnson J14 de lado \(L\).
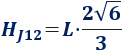
La altura del sólido J12 (bipirámide triangular) de arista \(L\) es

Como el prisma triangular es de arista \(L\), la altura del J14 es

Desarrollo plano del sólido de Johnson J14 de lado \(L\):

El sólido está compuesto por \(6\) triángulos equiláteros y \(3\) cuadrados, todos ellos de lado \(L\).
El área de los \(6\) triángulos equiláteros de lado \(L\) es

El área de los \(3\) cuadrados de lado \(L\) es

Luego el área del J14 es

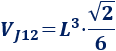
El volumen del sólido de Johnson J12 de arista \(L\) es

El volumen de un prisma triangular de arista \(L\) es

Por tanto, el volumen del J14 es

Otras calculadoras: