Proporcionamos dos calculadoras del área y volumen de una pirámide pentagonal. También, definimos pirámide pentagonal y pirámide J2, calculamos la arista lateral y la altura de J2 y demostramos las fórmulas del área y del volumen.
Índice:

Las calculadoras aproximan el resultado con \(n\) decimales.
Lado de la base: \(L =\)
Altura de la pirámide: \(h =\)
Decimales: \(n =\)
Lado de la base: \(L =\)
Decimales: \(n =\)
Una pirámide pentagonal es una pirámide con base pentagonal. Este poliedro tiene \(6\) caras (\(1\) base y \(5\) caras laterales), \(10\) aristas y \(6\) vértices:

La pirámide es recta cuando la proyección del vértice superior sobre la base coincide con su centro. Si no, la pirámide es oblicua:

Nosotros supondremos siempre que la pirámide es recta.
Las caras laterales de la pirámide son \(5\) triángulos isósceles iguales. La base de estos triángulos es \(L\) y el lado depende de la altura de la pirámide (\(h\)).
El sólido de Johnson J2 (o pirámide J2) es la pirámide pentagonal cuyas caras laterales son triángulos equiláteros:

Observad que todas las aristas del J2 tienen la misma longitud.

En la figura anterior hemos representado la apotema (\(a_p\)) de la base.
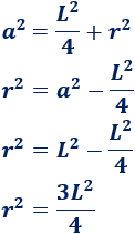
Si \(r\) es la altura de los triángulos de las caras laterales de la pirámide, entonces, por Pitágoras,

En área y perímetro del pentágono regular, calculamos la apotema de un pentágono de lado \(L\):

Por tanto, la altura del triángulo es

Si suponemos que se trata de la pirámide de Johnson, entonces \(a = L\).

Por Pitágoras,

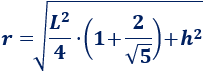
Luego la altura inclinada del J2 es

Anteriormente, vimos

de donde

Luego, sustituyendo \(r^2\),

Sustituyendo la apotema,

Por tanto, la altura de J2 es

O bien, operando un poco,

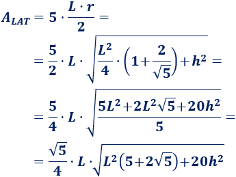
El área de la pirámide es la suma del área de las caras laterales y del área de la base:

Como la base es un pentágono de lado \(L\), su área es (como vimos en área y perímetro del pentágono regular)

Las caras laterales son \(5\) triángulos de base \(L\) y altura \(r\) (calculada anteriormente), así que el área que suman los \(5\) triángulo es

El área de la pirámide es la suma

Operando un poco,

Anteriormente, vimos

Por tanto, el área lateral de la pirámide es

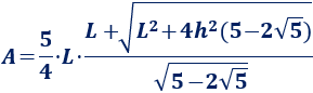
Así que el área de la pirámide J2 es

O bien, operando un poco,

Las secciones de la pirámide paralelas a la base son pentágonos, de lado menor cuanto más alto sea el corte:

Observad que estos pentágonos son perpendiculares a la altura de la pirámide.
La suma de las áreas de todas las secciones de la pirámide es su volumen.
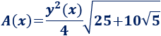
Supongamos que \(y(x)\) es el lado del pentágono de la sección de la pirámide a la altura \(x\).
Lógicamente, cuando \(x=0\), \(y(x) = L\); y cuando \(x =h\), \(y(x) = 0\). Por tanto, el lado es

El área de dicha sección (pentágono) es

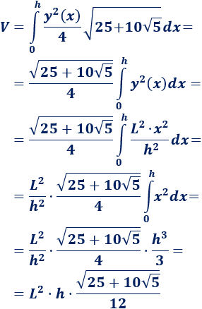
Calculamos el volumen:

Por tanto, el volumen de la pirámide es

Vimos anteriormente que la altura de J2 es

Luego, sustituyendo en la fórmula anterior, el volumen es

Operando un poco,

Otras calculadoras: