Proporcionamos una calculadora del área y volumen del sólido de Johnson J1. También, definimos la pirámide J1, calculamos su altura en función del lado de la base y demostramos las fórmulas del área y volumen.
Índice:
Nota previa: en esta página usaremos algunas relaciones y fórmulas vistas en pirámide cuadrada.

La calculadora aproxima el resultado con \(n\) decimales.
Lado de la base: \(L =\)
Decimales: \(n =\)
El sólido de Johnson J1 es una pirámide cuadrada de modo que sus caras laterales son triángulos equiláteros:

Observad que las caras laterales son triángulos equiláteros iguales:

Desarrollo plano:

La pirámide J1 tiene \(5\) caras (\(1\) base y \(4\) caras laterales), \(8\) aristas y \(5\) vértices.
En pirámides cuadradas vimos algunas relaciones:

Si \(L\) es el lado de la base de la pirámide, \(a\) es la arista lateral de la pirámide y \(r\) es la altura de los triángulos de las caras laterales, entonces,

Para que las caras laterales sean triángulos equiláteros tenemos que exigir que \(a = L\). Entonces,

También, vimos que la altura de la pirámide (\(h\)) es

Así, si exigimos que \(a = L\), entonces

Por tanto, el sólido de Johnson de lado \(L\) es la pirámide cuadrada de altura \(L/\sqrt{2}\).
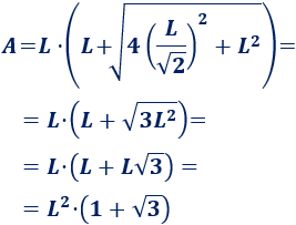
El área de la pirámide J1 de lado \(L\) es

En pirámides cuadradas también vimos que el área de la pirámide cuadrada de lado \(L\) y altura \(h\) es

Por tanto, sustituyendo \(h\),

El volumen de la pirámide J1 de lado \(L\) es

En pirámides cuadradas vimos que el volumen de la pirámide cuadrada de lado \(L\) y altura \(h\) es

Por tanto, sustituyendo \(h\),

Otras calculadoras: