Proporcionamos una calculadora online del área y volumen del sólido de Johnson J13, calculamos su altura y demostramos las fórmulas del área y volumen.
Índice:

La calculadora aproxima el resultado con \(n\) decimales.
Lado: \(L =\)
Decimales: \(n =\)
El sólido de Johnson J13 es una bipirámide pentagonal cuyas caras son triángulos equiláteros. Es decir, puede construirse uniendo las bases de dos pirámides pentagonales con aristas de igual longitud:

Otras perspectivas del J13:

Todas las caras del J13 son triángulos equiláteros iguales.
El J13 tiene \(10\) caras, \(15\) aristas y \(7\) vértices.
Nota: todas las aristas del J13 tienen la misma longitud.
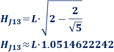
Consideremos el sólido de Johnson J13 de lado \(L\).
Como vimos en pirámide pentagonal, la altura de una pirámide pentagonal de aristas \(L\) es

Por tanto, la altura del J13 es

Desarrollo plano del sólido de Johnson J13 de lado \(L\):

El sólido está compuesto por \(10\) triángulos equiláteros, todos ellos de lado \(L\).
El área de un triángulo equilátero de lado \(L\) es

Luego el área del J13 es

Por lo visto en pirámide pentagonal, el volumen de una pirámide pentagonal de arista \(L\) es

Por tanto, el volumen del J13 es

Otras calculadoras: