Proporcionamos una calculadora online del área y volumen de la cúpula triangular (o sólido de Johnson J₃), calculamos su altura y demostramos las fórmulas del área y volumen.
Índice:

La calculadora aproxima el resultado con \(n\) decimales.
Lado: \(L =\)
Decimales: \(n =\)
La cúpula triangular o sólido de Johnson J3 es un prismatoide con base inferior hexagonal y base superior triangular:

Otras perspectivas del J3:

Nota: un prismatoide es un poliedro cuyos vértices se encuentran en dos planos paralelos (las bases). Una cúpula es un prismatoide de modo que una de las bases tiene el doble de lados que la otra.
Todas las caras del J3 son polígonos regulares: un hexágono, \(3\) cuadrados y \(4\) triángulos.
El J3 tiene \(8\) caras, \(15\) aristas y \(9\) vértices.
Nota: todas las aristas del J3 tienen la misma longitud.

Observad que las caras laterales no son perpendiculares a las bases (como sí ocurre en los prismas rectos).
Llamamos \(x\) a la distancia entre el punto medio de la base de la cara cuadrada a la proyección del punto medio del lado superior del cuadrado sobre la base hexagonal.
Vista superior de la cúpula:

La apotema del hexágono de la base (\(a_{p_h}\)) es igual a la suma de la apotema del triángulo de la base superior (\(a_{p_t}\)) y de la longitud \(x\):

Considerando que los lados del J3 miden \(L\), entonces, la apotema del hexágono de lado \(L\) es

Y la del triángulo equilátero de lado \(L\) es

Por tanto, la distancia de la inclinación de las caras cuadradas (\(x\)) es

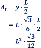
Sea ahora \(y\) la distancia de la inclinación de la cara triangular, es decir, la distancia desde el punto medio de la base del triángulo a la proyección del vértice superior sobre la base hexagonal:

En este caso, hemos llamado \(z\) a la altura de la base triangular (equilátero de lado \(L\)) menos su apotema:

Observad que

de donde tenemos

Podemos calcular la altura del J3 rápidamente a partir de la distancia \(x\) calculada anteriormente:

Por Pitágoras,

Nota: observad que la hipotenusa del triángulo rectángulo es la altura de la cara cuadrada, es decir, \(L\).
Por tanto, la altura del J3 es

El área del J3 es la suma del área de las caras laterales y del área de las bases:

Hay un total de \(4\) triángulos equiláteros, \(3\) cuadrados y \(1\) hexágono, todos ellos de lado \(L\).
El área total de los triángulos es

El área total de los cuadrados es

El área del hexágono es

Luego el área del sólido de Johnson J3 es

Para calcular el volumen vamos a dividir la cúpula triangular en \(7\) poliedros:

Tenemos:
Vista superior:

El volumen del prisma triangular central (verde) es el producto de la altura por el área de la base.
La altura del prisma es la altura de la cúpula:

Como la base es un triángulo equilátero de lado \(L\), su área es

El volumen del prisma es

El volumen de la pirámide triangular (rojo) es un tercio del producto de la altura por el área de la base.
La base es un triángulo isósceles de base \(L\) y cuya altura ya calculamos anteriormente (\(y\)):

Por tanto, su área es

La altura es la misma que la altura de la cúpula.
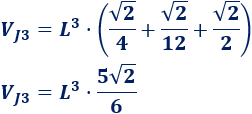
Por tanto, el volumen de las \(3\) pirámides triangulares es

Finalmente, el volumen del prisma triangular (azul) es el producto de su altura por el área de la base.
La base es un triángulo rectángulo de altura \(h\) (altura de la cúpula) y de base \(x\) (calculada anteriormente):

Por tanto, su área es

La altura del prisma es \(L\), así que el volumen de estos tres prismas triangulares es

Por tanto, el volumen del sólido de Johnson J3 es

Otras calculadoras: