Proporcionamos una calculadora online del área y volumen de la pirámide cuadrada elongada (cubo aumentado o sólido de Johnson J8), calculamos su altura y demostramos las fórmulas del área y volumen.
Índice:

La calculadora aproxima el resultado con \(n\) decimales.
Lado: \(L =\)
Decimales: \(n =\)
La pirámide cuadrada elongada, cubo aumentado o sólido de Johnson J8 es el sólido geométrico obtenido al elongar una pirámide con base cuadrada adosando un cubo a su base:

Otras perspectivas del J8:

Todas las caras del J8 son polígonos regulares de igual lado: \(4\) triángulos (las caras laterales inclinadas procedentes de la pirámide) y \(5\) cuadrados (las caras procedentes del cubo).
El J8 tiene \(9\) caras, \(16\) aristas y \(9\) vértices.
Nota: todas las aristas del J8 tienen la misma longitud.
Consideremos el sólido de Johnson J8 de lado \(L\).
Como todas las aristas de la pirámide miden \(L\), por lo visto en pirámide cuadrada, la altura de la pirámide es

Lógicamente, la altura del cubo es \(L\), así que la altura del J8 es

Desarrollo plano del sólido de Johnson J8 de lado \(L\):

El sólido está compuesto por \(4\) triángulos equiláteros y \(5\) cuadrados, todos ellos de lado \(L\).
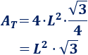
El área total de los triángulos es

El área total de los cuadrados es

Luego el área del J8 es

Por lo visto en pirámide cuadrada, el volumen de una pirámide cuadrada cuyas aristas miden \(L\) es

El volumen de un cubo de lado \(L\) es

Por tanto, el volumen del J8 es

Otras calculadoras: