Proporcionamos una calculadora online del área y volumen de la cúpula pentagonal (o sólido de Johnson J5), calculamos su altura y demostramos las fórmulas del área y volumen.
Índice:

La calculadora aproxima el resultado con \(n\) decimales.
Lado: \(L =\)
Decimales: \(n =\)
La cúpula pentagonal o sólido de Johnson J5 es un prismatoide con base inferior decagonal y base superior pentagonal:

Otras perspectivas del J5:

Nota: un prismatoide es un poliedro cuyos vértices se encuentran en dos planos paralelos (las bases). Una cúpula es un prismatoide de modo que una de las bases tiene el doble de lados que la otra.
Todas las caras del J5 son polígonos regulares: un decágono, un pentágono, \(5\) cuadrados y \(5\) triángulos.
El J5 tiene \(12\) caras, \(25\) aristas y \(15\) vértices.
Nota: todas las aristas del J5 tienen la misma longitud.
Consideremos la cúpula pentagonal de lado \(L\).
Observad que las caras laterales no son perpendiculares a las bases (como sí ocurre en los prismas rectos).

Llamamos \(x\) a la distancia entre el punto medio de la base de la cara cuadrada a la proyección del punto medio del lado superior del cuadrado sobre la base decagonal.
Vista superior de la cúpula:

La apotema del decágono de la base es

La apotema del pentágono de la base superior es

Se tiene que

Por tanto, la distancia de la inclinación de las caras cuadradas (\(x\)) es

Sea ahora \(y\) la distancia de la inclinación de la cara triangular, es decir, la distancia desde el punto medio de la base del triángulo a la proyección del vértice superior sobre la base decagonal:

Se tiene

donde \(z\) es el radio de la circunferencia circunscrita del pentágono (circunradio):

Por tanto,

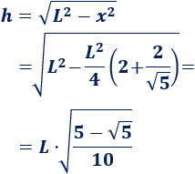
Podemos calcular la altura del J5 rápidamente a partir de la distancia \(x\) calculada anteriormente:

Por Pitágoras,

Por tanto, la altura del J5 es

El área del J5 es la suma del área de las caras laterales y del área de las bases:

Hay un total de \(5\) triángulos equiláteros, \(5\) cuadrados, \(1\) pentágono y \(1\) decágono, todos ellos de lado \(L\).
El área total de los triángulos es

El área total de los cuadrados es

El área del pentágono es

El área del decágono es

Luego el área del sólido de Johnson J5 es

O bien,

Aproximando,

Para calcular el volumen vamos a dividir la cúpula pentagonal en \(11\) poliedros:

Vista superior:

El volumen del prisma pentagonal central (verde) es el producto de la altura por el área de la base.
La altura del prisma es la altura de la cúpula:

El área del pentágono de lado \(L\) es

Luego el volumen del prisma es

Esto es

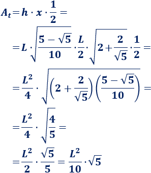
El volumen de la pirámide triangular (rojo) es un tercio del producto de la altura por el área de la base.
La base es un triángulo isósceles de base \(L\) y cuya altura ya calculamos anteriormente (\(y\)):

Por tanto, su área es

La altura es la misma que la altura de la cúpula.
Por tanto, el volumen de las \(5\) pirámides triangulares es

Finalmente, el volumen del prisma triangular (azul) es el producto de su altura por el área de la base.
La base es un triángulo rectángulo de altura \(h\) (altura de la cúpula) y de base \(x\) (calculada anteriormente):

Por tanto, su área es

La altura del prisma es \(L\), así que el volumen de estos cinco prismas triangulares es

Por tanto, el volumen del sólido de Johnson J5 es

Operando un poco,

Aproximando,

Otras calculadoras: