Proporcionamos una calculadora online del área y volumen de la cúpula cuadrada (o sólido de Johnson J₄), calculamos su altura y demostramos las fórmulas del área y volumen.
Índice:

La calculadora aproxima el resultado con \(n\) decimales.
Lado: \(L =\)
Decimales: \(n =\)
La cúpula cuadrada o sólido de Johnson J4 es un prismatoide con base inferior octagonal y base superior cuadrada:

Otras perspectivas del J4:

Nota: un prismatoide es un poliedro cuyos vértices se encuentran en dos planos paralelos (las bases). Una cúpula es un prismatoide de modo que una de las bases tiene el doble de lados que la otra.
Todas las caras del J4 son polígonos regulares: un octágono, \(5\) cuadrados y \(4\) triángulos.
El J4 tiene \(10\) caras, \(20\) aristas y \(12\) vértices.
Nota: todas las aristas del J4 tienen la misma longitud.
Consideremos la cúpula cuadrada de lado \(L\).
Observad que las caras laterales no son perpendiculares a las bases (como sí ocurre en los prismas rectos).

Llamamos \(x\) a la distancia entre el punto medio de la base de la cara cuadrada a la proyección del punto medio del lado superior del cuadrado sobre la base octagonal.
Vista superior de la cúpula:

La apotema del octágono de la base (\(a_{p_8}\)) es

La apotema de un octágono de lado \(L\) es

Por tanto, la distancia de la inclinación de las caras cuadradas (\(x\)) es

Sea ahora \(y\) la distancia de la inclinación de la cara triangular, es decir, la distancia desde el punto medio de la base del triángulo a la proyección del vértice superior sobre la base octagonal:

La diagonal (\(d\)) de un cuadrado de lado \(L\) es

Por tanto,

de donde

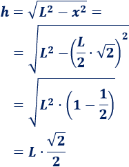
Podemos calcular la altura del J4 rápidamente a partir de la distancia \(x\) calculada anteriormente:

Por Pitágoras,

Por tanto, la altura del J4 es

El área del J4 es la suma del área de las caras laterales y del área de las bases:

Hay un total de \(4\) triángulos equiláteros, \(5\) cuadrados y \(1\) octágono, todos ellos de lado \(L\).
El área total de los triángulos es

El área total de los cuadrados es

El área del octágono es

Luego el área del sólido de Johnson J4 es

O bien,

Para calcular el volumen vamos a dividir la cúpula cuadrada en \(9\) poliedros:

Vista superior:

El volumen del prisma cuadrado central (verde) es el producto de la altura por el área de la base.
La altura del prisma es la altura de la cúpula:

Luego el volumen del prisma es

El volumen de la pirámide triangular (rojo) es un tercio del producto de la altura por el área de la base.
La base es un triángulo isósceles de base \(L\) y cuya altura ya calculamos anteriormente (\(y\)):

Por tanto, su área es

La altura es la misma que la altura de la cúpula.
Por tanto, el volumen de las \(4\) pirámides triangulares es

Finalmente, el volumen del prisma triangular (azul) es el producto de su altura por el área de la base.
La base es un triángulo rectángulo de altura \(h\) (altura de la cúpula) y de base \(x\) (calculada anteriormente):

Por tanto, su área es

La altura del prisma es \(L\), así que el volumen de estos cuatro prismas triangulares es

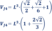
Por tanto, el volumen del sólido de Johnson J4 es

Otras calculadoras: