Proporcionamos dos calculadoras online del área y volumen de un tetraedro regular y de un tetraedro con base regular. También, definimos tetraedro, calculamos la altura del tetraedro regular y demostramos las fórmulas del área y del volumen.
Índice:
Las calculadoras aproximan el resultado con \(n\) decimales.

Lado: \(L =\)
Decimales: \(n =\)

Lado de la base: \(L =\)
Altura del tetraedro: \(h =\)
Decimales: \(n =\)
Un tetraedro o pirámide triangular es un poliedro formado por \(4\) caras triangulares, \(6\) aristas y \(4\) vértices:

Otras vistas:

El tetraedro es regular cuando todas las caras son triángulos equiláteros de igual lado:

Además, un tetraedro es recto cuando la proyección de la cúspide de la pirámide sobre la base coincide con su centro. En caso contrario, es un tetraedro oblicuo:

En esta página sólo consideramos los tetraedros rectos.
Las caras del tetraedro regular son triángulos equiláteros iguales, por lo que podemos calcular la altura de la pirámide.
La altura de un tetraedro regular de lado \(L\) es

O bien,

Consideremos un triángulo equilátero de lado \(L\):

Podemos calcular su altura por Pitágoras:

Por tanto,

Ahora vamos a calcular su apotema, que es la distancia desde el punto medio de cualquier lado al centro del triángulo:

El triángulo recto representado tiene un ángulo recto y un ángulo de \(30^\circ\) (porque es la mitad de un ángulo interior del triángulo equilátero). Por tanto, el tercer ángulo debe medir \(60^\circ\) (los tres ángulos deben sumar \(180^\circ\)).
Por el teorema del seno,

Por tanto, la apotema es

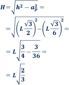
Como la cúspide de la pirámide está sobre el centro de la base, podemos calcular su altura (\(H\)) fácilmente:

Por Pitágoras,

Operamos:

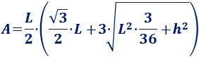
El área de un tetraedro de altura \(h\) y cuya base es un triángulo equilátero de lado \(L\) es

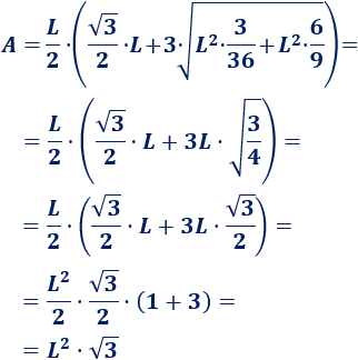
El área de un tetraedro regular de lado \(L\) es

Desarrollo plano del tetraedro (no regular):

La base es un triángulo equilátero de lado \(L\) y la altura del tetraedro es \(h\).
Razonado como hicimos en el apartado anterior del tetraedro regular,

donde \(b\) es la altura de los triángulos isósceles de las caras laterales.
Por tanto,

El área de la base de la pirámide es

El área de las tres caras laterales (triángulos de base \(L\) y altura \(b\)) es

Por tanto, el área total es

Si se trata del tetraedro regular, sabemos que su altura es

Sustituyendo en la fórmula anterior,

El volumen de un tetraedro de altura \(h\) y cuya base es un triángulo equilátero de lado \(L\) es

El volumen de un tetraedro regular de lado \(L\) es

En general, el volumen de una pirámide es un tercio del área de la base por la altura de la pirámide.
Por tanto, si la pirámide tiene altura \(h\), el volumen del tetraedro es

Si se trata del tetraedro regular,

Otras calculadoras: