En esta página proporcionamos una calculadora online de la apotema, sagita, circunradio, perímetro y área de un polígono regular de \(n\) lados de longitud \(L\). También, definimos y demostramos la fórmula de la apotema y la sagita de forma intuitiva.
Índice:

La calculadora también calcula el circunradio (\(R\)), perímetro (\(P = n\cdot L\)) y área (\(A = p\cdot a_p /2\)) y aproxima los resultados con \(d\) decimales.
Lado: \(L =\)
Número de lados: \(n =\)
Decimales: \(d =\)
A continuación, definimos y calculamos la apotema de un polígono regular de \(n\) lados.
Recordad que un polígono es regular cuando todos sus lados y ángulos son iguales.
Dado un polígono regular, la apotema es la distancia desde su centro al punto medio de cualquiera de sus lados.
Ejemplos:

Recordad que un polígono está inscrito en una circunferencia cuando todos sus vértices están en una circunferencia.
Para calcular la fórmula general de la apotema de un polígono de \(n\) lados, lo inscribimos en una circunferencia y dividimos el polígono en \(n\) triángulos:

Observaciones:
Si dividimos unos de los triángulos por la mitad, se obtienen dos triángulos rectángulos iguales:

Observad que \(\beta = \alpha /2 = \pi /n\).
Aplicando trigonometría básica, tenemos:

De la primera fórmula (coseno) obtenemos la apotema:

Finalmente, como \(\beta = \alpha /2\),

También, podemos calcular la apotema en función del lado en lugar del radio usando la tangente:

Por tanto, despejando y sustituyendo \(\beta = \alpha /2\),

En este apartado definimos sagita y calculamos su fórmula para un polígono regular de \(n\) lados.
La sagita (\(s\)) de un polígono regular inscrito en una circunferencia es la distancia que hay entre el punto medio de uno de sus lados y la circunferencia.
Ejemplo:

La suma de la apotema y la sagita es el radio de la circunferencia:

Por tanto,

Sustituimos la fórmula de la apotema obtenida anteriormente:

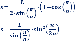
Por tanto, la sagita en función del radio y de \(n\) es

Si tenemos en cuenta la igualdad \(1-\cos(x) = 2 \sin^2(x/2)\),

La sagita en función del lado y \(n\) es

Otras calculadoras: