En esta página explicamos qué es una ecuación lineal y proporcionamos algunos ejemplos de ecuaciones lineales y de ecuaciones no lineales.
Índice:
Las ecuaciones más simples son las lineales. Pueden tener una o varias incógnitas, pero las incógnitas sólo pueden sumarse o restarse entre sí.
Las incógnitas no pueden multiplicarse, ni tener exponentes, ni estar dentro de raíces, logaritmos o valores absolutos, etc.





Una ecuación lineal con N incógnitas (\(x_1\), \(x_2\),… \(x_N\)) tiene la forma

siendo \(a_1\), \(a_2\),… \(a_N\) y \(b\) números.
Una ecuación lineal con \(1\) incógnita (\(x\)), tiene la siguiente forma (siendo \(a\neq 0\)):

Esta ecuación tiene una única solución y es

Estas ecuaciones son las ecuaciones de primer grado.
Una ecuación lineal con más de una incógnita tiene infinitas soluciones.
Consideremos la ecuación

Una solución de esta ecuación es \(x = 1\) e \(y = 12\) (porque 1 + 12 = 13), pero hay otras soluciones (infinitas, de hecho), por ejemplo:

Ahora bien, si consideramos un conjunto de ecuaciones lineales que comparten incógnitas, puede haber una solución única, infinitas o ninguna.

La solución de este sistema de ecuaciones (conjunto de ecuaciones que comparten incógnitas) es \(x=14\) e \(y = -1\). Esta solución es única y verifica AMBAS ecuaciones.
Nota: suele emplearse la llave para agrupar las ecuaciones de un sistema.
Más ejemplos en sistemas de ecuaciones.
Una ecuación es no lineal cuando no es una ecuación lineal. Estas ecuaciones son más complicadas de resolver, sobre todo si tienen más de una incógnita y forman parte de un sistema.
Las ecuaciones de segundo grado son un ejemplo de ecuaciones no lineales con una sola incógnita (\(x\)). Estas ecuaciones tienen la forma (con \(a\neq 0\))

Podemos calcular la o las soluciones mediante la fórmula

Más ejemplos en ecuaciones de segundo grado.
Las ecuaciones bicuadradas son otro ejemplo de ecuaciones no lineales con una sola incógnita (\(x\)). Estas ecuaciones tienen la forma (con \(a\neq 0\))

En ecuaciones bicuadradas se explica cómo resolverlas.
Las ecuaciones irracionales son ecuaciones en las que la incógnita se encuentra dentro de una raíz. Por ejemplo,

La solución de esta ecuación es \(x=4\). Más ejemplos en ecuaciones bicuadradas.
Las ecuaciones exponenciales son ecuaciones no lineales en las que la incógnita se halla en exponentes. Por ejemplo,

La solución de esta ecuación es \(x = 4\). Más ejemplos en ecuaciones exponenciales.
Determinar cuál o cuáles de las siguientes ecuaciones sí son lineales:
Resolver la siguiente lineal con 1 incógnita:

Esta ecuación es de primer grado y sabemos resolverla:

La solución de la ecuación es \(x = 5\).
Buscar \(2\) de las infinitas soluciones de la siguiente ecuación lineal con 2 incógnitas:

Podemos aislar una incógnita y dar valores a la otra para obtener soluciones.
Aislamos la \(x\):

Damos valores a \(y\):


Por tanto, una solución de la ecuación es \(x = 20\) e \(y = 0\) y otra solución es \(x = 18\) e \(y = 1\).
Observad que hay infinitas soluciones.
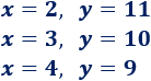
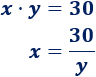
Buscar \(2\) de las infinitas soluciones de la siguiente ecuación NO lineal:

Aislamos la \(x\):

Ahora, damos valores a \(y\), aunque lógicamente \(y\) no debe ser \(0\), ya que no podemos dividir entre \(0\):


Por tanto, \(x = 15\) e \(y = 2\) es una solución y \(x = 6\) e \(y = 5\) es otra solución.
Sea el sistema de ecuaciones lineales

Determinar cuál de las siguientes opciones es la ÚNICA solución del sistema de ecuaciones.
Comprobamos las posibles soluciones sustituyendo en las ecuaciones.



ISSN 2659-9899