Sistemas de Ecuaciones:

Métodos de resolución

En esta página vamos a exponer los 3 métodos básicos para resolver sistemas de ecuaciones lineales: sustitución, reducción e igualación. Para facilitar la comprensión de los métodos, sólo vamos a resolver sistemas de 2 ecuaciones con 2 incógnitas.

Cuando sepamos resolver un sistema, ya podemos resolver problemas de aplicación: Problemas de sistemas.

Recordatorio:

El coeficiente de una incógnita es el número que la multiplica. Por ejemplo,

Explicaremos los métodos con 4 pasos y mediante un ejemplo.


1. Método de sustitución

El método de sustitución consiste en aislar en una ecuación una de las dos incógnitas para sustituirla en la otra ecuación.

Este método es aconsejable cuando una de las incógnitas tiene coeficiente 1.

Ejemplo 1

Resolución de 6 sistemas de ecuaciones utilizando los métodos básicos: sustitución, igualación y reducción. Sistemas de ecuaciones para secundaria. ESO. Álgebra básica.

Solución:

1. Aislamos una incógnita

Vamos a aislar la x de la primera ecuación. Como su coeficiente es 1, sólo tenemos que pasar el 4 restando al otro lado:

Resolución de 6 sistemas de ecuaciones utilizando los métodos básicos: sustitución, igualación y reducción. Sistemas de ecuaciones para secundaria. ESO. Álgebra básica.

Ya tenemos aislada la incógnita x.

2. Sustituimos la incógnita en la otra ecuación

Como tenemos que la incógnita x es igual 2y-4, escribimos 2y-4 en lugar de la x en la segunda ecuación (sustituimos la x):

Resolución de 6 sistemas de ecuaciones utilizando los métodos básicos: sustitución, igualación y reducción. Sistemas de ecuaciones para secundaria. ESO. Álgebra básica.

Observad que hemos utilizado paréntesis porque el coeficiente 2 tiene que multiplicar a todos los términos.

3. Resolvemos la ecuación obtenida:

Resolución de 6 sistemas de ecuaciones utilizando los métodos básicos: sustitución, igualación y reducción. Sistemas de ecuaciones para secundaria. ESO. Álgebra básica.

Ya sabemos una incógnita: y=3.

4. Calculamos la otra incógnita sustituyendo:

Al despejar la incógnita x teníamos

Resolución de 6 sistemas de ecuaciones utilizando los métodos básicos: sustitución, igualación y reducción. Sistemas de ecuaciones para secundaria. ESO. Álgebra básica.

Como conocemos y=3, sustituimos en la ecuación:

Resolución de 6 sistemas de ecuaciones utilizando los métodos básicos: sustitución, igualación y reducción. Sistemas de ecuaciones para secundaria. ESO. Álgebra básica.

Por tanto, la otra incógnita es x=2.

La solución del sistema es

Resolución de 6 sistemas de ecuaciones utilizando los métodos básicos: sustitución, igualación y reducción. Sistemas de ecuaciones para secundaria. ESO. Álgebra básica.


2. Método de reducción

El método de reducción consiste en sumar (o restar) las ecuaciones del sistema para eliminar una de las incógnitas.

Este método es aconsejable cuando una misma incógnita tiene en ambas ecuaciones el mismo coeficiente (restamos las ecuaciones) o los coeficientes son iguales pero con signo opuesto (sumamos las ecuaciones).

Ejemplo 2

Resolución de 6 sistemas de ecuaciones utilizando los métodos básicos: sustitución, igualación y reducción. Sistemas de ecuaciones para secundaria. ESO. Álgebra básica.

Solución:

1. Comprobamos los coeficientes

Hay que asegurarse de que al sumar o restar las ecuaciones, alguna de las incógnitas desaparece:

  • Escogemos una incógnita a eliminar: la y.

  • Sus coeficientes son -1 (en la primera) y 1 (en la segunda).

  • Como son iguales y de signo contrario, sumaremos las ecuaciones.

Nota: si ninguna de las incógnitas tiene el mismo coeficiente, podemos multiplicar cada ecuación por el número distinto de 0 que sea necesario para conseguirlo. Un ejemplo de esto lo podemos encontrar en el Problema 2.

2. Sumamos o restamos las ecuaciones

Sumamos las ecuaciones para eliminar la y:

Resolución de 6 sistemas de ecuaciones utilizando los métodos básicos: sustitución, igualación y reducción. Sistemas de ecuaciones para secundaria. ESO. Álgebra básica.

3. Resolvemos la ecuación obtenida

Resolución de 6 sistemas de ecuaciones utilizando los métodos básicos: sustitución, igualación y reducción. Sistemas de ecuaciones para secundaria. ESO. Álgebra básica.

4. Calculamos la otra incógnita sustituyendo

Sustituimos la incógnita x por 7 en alguna de las ecuaciones y la resolvemos:

Resolución de 6 sistemas de ecuaciones utilizando los métodos básicos: sustitución, igualación y reducción. Sistemas de ecuaciones para secundaria. ESO. Álgebra básica.

La solución del sistema es

Resolución de 6 sistemas de ecuaciones utilizando los métodos básicos: sustitución, igualación y reducción. Sistemas de ecuaciones para secundaria. ESO. Álgebra básica.


3. Método de igualación

El método de igualación consiste en aislar una incógnita en las dos ecuaciones para igualarlas.

Este método es aconsejable cuando una misma incógnita es fácil de aislar en ambas ecuaciones.

Ejemplo 3

Resolución de 6 sistemas de ecuaciones utilizando los métodos básicos: sustitución, igualación y reducción. Sistemas de ecuaciones para secundaria. ESO. Álgebra básica.

Solución:

1. Aislamos una incógnita en las dos ecuaciones

Escogemos aislar la incógnita x:

Resolución de 6 sistemas de ecuaciones utilizando los métodos básicos: sustitución, igualación y reducción. Sistemas de ecuaciones para secundaria. ESO. Álgebra básica.

2. Igualamos las expresiones

Como x=x, podemos igualar las expresiones obtenidas:

Resolución de 6 sistemas de ecuaciones utilizando los métodos básicos: sustitución, igualación y reducción. Sistemas de ecuaciones para secundaria. ESO. Álgebra básica.

3. Resolvemos la ecuación

Resolvemos la ecuación de primer grado obtenida:

Resolución de 6 sistemas de ecuaciones utilizando los métodos básicos: sustitución, igualación y reducción. Sistemas de ecuaciones para secundaria. ESO. Álgebra básica.

4. Calculamos la otra incógnita sustituyendo

Sustituimos el valor de la incógnita y en alguna de las expresiones calculadas anteriormente (la primera, por ejemplo):

Resolución de 6 sistemas de ecuaciones utilizando los métodos básicos: sustitución, igualación y reducción. Sistemas de ecuaciones para secundaria. ESO. Álgebra básica.

La solución del sistema es

Resolución de 6 sistemas de ecuaciones utilizando los métodos básicos: sustitución, igualación y reducción. Sistemas de ecuaciones para secundaria. ESO. Álgebra básica.


Más sistemas resueltos


Problema 1

Resolver el siguiente sistema por el método de igualación:

Resolución de 6 sistemas de ecuaciones utilizando los métodos básicos: sustitución, igualación y reducción. Sistemas de ecuaciones para secundaria. ESO. Álgebra básica.

Solución:

1. Aislamos la incógnita x en la segunda ecuación (en la primera ya está aislada)

Resolución de 6 sistemas de ecuaciones utilizando los métodos básicos: sustitución, igualación y reducción. Sistemas de ecuaciones para secundaria. ESO. Álgebra básica.

2. Igualamos las expresiones

Resolución de 6 sistemas de ecuaciones utilizando los métodos básicos: sustitución, igualación y reducción. Sistemas de ecuaciones para secundaria. ESO. Álgebra básica.

3. Resolvemos la ecuación

El 2 del denominador pasa al otro lado multiplicando:

Resolución de 6 sistemas de ecuaciones utilizando los métodos básicos: sustitución, igualación y reducción. Sistemas de ecuaciones para secundaria. ESO. Álgebra básica.

4. Calculamos la otra incógnita sustituyendo el valor de la incógnita y en la primera ecuación

Resolución de 6 sistemas de ecuaciones utilizando los métodos básicos: sustitución, igualación y reducción. Sistemas de ecuaciones para secundaria. ESO. Álgebra básica.

La solución del sistema es

Resolución de 6 sistemas de ecuaciones utilizando los métodos básicos: sustitución, igualación y reducción. Sistemas de ecuaciones para secundaria. ESO. Álgebra básica.


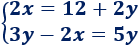
Problema 2

Resolver el siguiente sistema por el método de reducción:

Resolución de 6 sistemas de ecuaciones utilizando los métodos básicos: sustitución, igualación y reducción. Sistemas de ecuaciones para secundaria. ESO. Álgebra básica.

Solución:

1. Comprobamos los coeficientes

Vamos a eliminar la incógnita x. Su coeficiente en la primera ecuación es 2 y en la segunda ecuación es 3. Para solucionar esto, multiplicamos la primera ecuación por 3 y la segunda por 2:

Resolución de 6 sistemas de ecuaciones utilizando los métodos básicos: sustitución, igualación y reducción. Sistemas de ecuaciones para secundaria. ESO. Álgebra básica.

Ahora, la incógnita x tiene el mismo coeficiente en ambas ecuaciones.

2. Restamos las ecuaciones

Resolución de 6 sistemas de ecuaciones utilizando los métodos básicos: sustitución, igualación y reducción. Sistemas de ecuaciones para secundaria. ESO. Álgebra básica.

3. Resolvemos la ecuación obtenida

Resolución de 6 sistemas de ecuaciones utilizando los métodos básicos: sustitución, igualación y reducción. Sistemas de ecuaciones para secundaria. ESO. Álgebra básica.

4. Calculamos la otra incógnita sustituyendo en la primera ecuación

Resolución de 6 sistemas de ecuaciones utilizando los métodos básicos: sustitución, igualación y reducción. Sistemas de ecuaciones para secundaria. ESO. Álgebra básica.

La solución del sistema es

Resolución de 6 sistemas de ecuaciones utilizando los métodos básicos: sustitución, igualación y reducción. Sistemas de ecuaciones para secundaria. ESO. Álgebra básica.


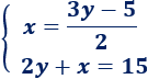
Problema 3

Resolver el siguiente sistema por el método de sustitución:

Resolución de 6 sistemas de ecuaciones utilizando los métodos básicos: sustitución, igualación y reducción. Sistemas de ecuaciones para secundaria. ESO. Álgebra básica.

Solución:

1. Aislamos la incógnita x en la primera ecuación

Resolución de 6 sistemas de ecuaciones utilizando los métodos básicos: sustitución, igualación y reducción. Sistemas de ecuaciones para secundaria. ESO. Álgebra básica.

2. Sustituimos la incógnita en la otra ecuación

Resolución de 6 sistemas de ecuaciones utilizando los métodos básicos: sustitución, igualación y reducción. Sistemas de ecuaciones para secundaria. ESO. Álgebra básica.

Nota: No olvidéis escribir el paréntesis al sustituir.

3. Resolvemos la ecuación obtenida

Resolución de 6 sistemas de ecuaciones utilizando los métodos básicos: sustitución, igualación y reducción. Sistemas de ecuaciones para secundaria. ESO. Álgebra básica.

4. Calculamos la otra incógnita sustituyendo

Resolución de 6 sistemas de ecuaciones utilizando los métodos básicos: sustitución, igualación y reducción. Sistemas de ecuaciones para secundaria. ESO. Álgebra básica.

La solución del sistema es

Resolución de 6 sistemas de ecuaciones utilizando los métodos básicos: sustitución, igualación y reducción. Sistemas de ecuaciones para secundaria. ESO. Álgebra básica.



Más problemas similares:




Problemas y Ecuaciones ©