Ecuaciones bicuadradas

En esta página explicamos el método para resolver ecuaciones bicuadradas y resolvemos 5 ecuaciones.

Índice de contenidos:

Introducción

Una ecuación bicuadrada es una ecuación de cuarto grado incompleta:

Explicamos el método para resolver ecuaciones bicuadradas (cambio de variable x^2 = t) y resolvemos 5 ecuaciones bicuadradas paso a paso. Secundaria. Bachillerato. Universidad. Matemáticas.

Los números \(a\neq 0\) y \(b\) son los coeficientes y \(c\) es el término independiente.

Como se trata de una ecuación de cuarto grado, puede tener hasta cuatro soluciones reales distintas. Nosotros no calcularemos las soluciones complejas en esta página.

Método de resolución


Para resolver la ecuación bicuadrada, seguimos los siguientes pasos:

  1. Aplicamos el cambio de variable \(x^2 = t\). Es decir, cambiamos \(x^4\) por \(t^2\) y \(x^2\) por \(t\).

  2. Resolvemos la ecuación de segundo grado resultante obteniendo las soluciones \(t_1\) y \(t_2\).

  3. Las 4 soluciones de la ecuación bicuadrada son las raíces de \(t_1\) y \(t_2\):

    Explicamos el método para resolver ecuaciones bicuadradas (cambio de variable x^2 = t) y resolvemos 5 ecuaciones bicuadradas paso a paso. Secundaria. Bachillerato. Universidad. Matemáticas.

Ecuaciones bicuadradas resueltas

Cada una de las ecuaciones que vamos a resolver tiene un número distinto de soluciones. Insistimos en que no consideramos las soluciones imaginarias o complejas.

Ecuación bicuadrada 1

Explicamos el método para resolver ecuaciones bicuadradas (cambio de variable x^2 = t) y resolvemos 5 ecuaciones bicuadradas paso a paso. Secundaria. Bachillerato. Universidad. Matemáticas.

Solución:

Cambiamos \(x^2\) por \(t\) y \(x^4\) por \(t^2\):

Explicamos el método para resolver ecuaciones bicuadradas (cambio de variable x^2 = t) y resolvemos 5 ecuaciones bicuadradas paso a paso. Secundaria. Bachillerato. Universidad. Matemáticas.

Resolvemos la ecuación cuadrática:

Explicamos el método para resolver ecuaciones bicuadradas (cambio de variable x^2 = t) y resolvemos 5 ecuaciones bicuadradas paso a paso. Secundaria. Bachillerato. Universidad. Matemáticas.

Calculamos las soluciones de la ecuación bicuadrada haciendo la raíz cuadrada:

Explicamos el método para resolver ecuaciones bicuadradas (cambio de variable x^2 = t) y resolvemos 5 ecuaciones bicuadradas paso a paso. Secundaria. Bachillerato. Universidad. Matemáticas.

Por tanto, la ecuación bicuadrada tiene 4 soluciones.



Ecuación bicuadrada 2

Explicamos el método para resolver ecuaciones bicuadradas (cambio de variable x^2 = t) y resolvemos 5 ecuaciones bicuadradas paso a paso. Secundaria. Bachillerato. Universidad. Matemáticas.

Solución:

Cambiamos \(x^2\) por \(t\) y \(x^4\) por \(t^2\):

Explicamos el método para resolver ecuaciones bicuadradas (cambio de variable x^2 = t) y resolvemos 5 ecuaciones bicuadradas paso a paso. Secundaria. Bachillerato. Universidad. Matemáticas.

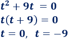
Resolvemos la ecuación cuadrática:

Explicamos el método para resolver ecuaciones bicuadradas (cambio de variable x^2 = t) y resolvemos 5 ecuaciones bicuadradas paso a paso. Secundaria. Bachillerato. Universidad. Matemáticas.

Calculamos las soluciones de la ecuación bicuadrada haciendo la raíz cuadrada:

Explicamos el método para resolver ecuaciones bicuadradas (cambio de variable x^2 = t) y resolvemos 5 ecuaciones bicuadradas paso a paso. Secundaria. Bachillerato. Universidad. Matemáticas.

Por tanto, la ecuación bicuadrada tiene 3 soluciones.


Ecuación bicuadrada 3

Explicamos el método para resolver ecuaciones bicuadradas (cambio de variable x^2 = t) y resolvemos 5 ecuaciones bicuadradas paso a paso. Secundaria. Bachillerato. Universidad. Matemáticas.

Solución:

Cambiamos \(x^2\) por \(t\) y \(x^4\) por \(t^2\):

Explicamos el método para resolver ecuaciones bicuadradas (cambio de variable x^2 = t) y resolvemos 5 ecuaciones bicuadradas paso a paso. Secundaria. Bachillerato. Universidad. Matemáticas.

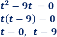
Resolvemos la ecuación cuadrática:

Explicamos el método para resolver ecuaciones bicuadradas (cambio de variable x^2 = t) y resolvemos 5 ecuaciones bicuadradas paso a paso. Secundaria. Bachillerato. Universidad. Matemáticas.

Calculamos las soluciones de la ecuación bicuadrada haciendo la raíz cuadrada:

Explicamos el método para resolver ecuaciones bicuadradas (cambio de variable x^2 = t) y resolvemos 5 ecuaciones bicuadradas paso a paso. Secundaria. Bachillerato. Universidad. Matemáticas.

Por tanto, la ecuación bicuadrada tiene 2 soluciones. Las otras dos soluciones son complejas porque las raíces de \(-1\).



Ecuación bicuadrada 4

Explicamos el método para resolver ecuaciones bicuadradas (cambio de variable x^2 = t) y resolvemos 5 ecuaciones bicuadradas paso a paso. Secundaria. Bachillerato. Universidad. Matemáticas.

Solución:

Cambiamos \(x^2\) por \(t\) y \(x^4\) por \(t^2\):

Explicamos el método para resolver ecuaciones bicuadradas (cambio de variable x^2 = t) y resolvemos 5 ecuaciones bicuadradas paso a paso. Secundaria. Bachillerato. Universidad. Matemáticas.

Resolvemos la ecuación cuadrática:

Explicamos el método para resolver ecuaciones bicuadradas (cambio de variable x^2 = t) y resolvemos 5 ecuaciones bicuadradas paso a paso. Secundaria. Bachillerato. Universidad. Matemáticas.

Calculamos las soluciones de la ecuación bicuadrada haciendo la raíz cuadrada:

Explicamos el método para resolver ecuaciones bicuadradas (cambio de variable x^2 = t) y resolvemos 5 ecuaciones bicuadradas paso a paso. Secundaria. Bachillerato. Universidad. Matemáticas.

Por tanto, la ecuación bicuadrada tiene 1 solución. Las otras dos soluciones son complejas porque son las raíces de \(-9\).


Ecuación bicuadrada 5

Explicamos el método para resolver ecuaciones bicuadradas (cambio de variable x^2 = t) y resolvemos 5 ecuaciones bicuadradas paso a paso. Secundaria. Bachillerato. Universidad. Matemáticas.

Solución:

Cambiamos \(x^2\) por \(t\) y \(x^4\) por \(t^2\):

Explicamos el método para resolver ecuaciones bicuadradas (cambio de variable x^2 = t) y resolvemos 5 ecuaciones bicuadradas paso a paso. Secundaria. Bachillerato. Universidad. Matemáticas.

Resolvemos la ecuación cuadrática:

Explicamos el método para resolver ecuaciones bicuadradas (cambio de variable x^2 = t) y resolvemos 5 ecuaciones bicuadradas paso a paso. Secundaria. Bachillerato. Universidad. Matemáticas.

Calculamos las soluciones de la ecuación bicuadrada haciendo la raíz cuadrada:

Explicamos el método para resolver ecuaciones bicuadradas (cambio de variable x^2 = t) y resolvemos 5 ecuaciones bicuadradas paso a paso. Secundaria. Bachillerato. Universidad. Matemáticas.

Por tanto, la ecuación bicuadrada no tiene soluciones. Las cuatro soluciones son complejas por ser las raíces cuadradas de \(-1\) y \(-9\).

Podéis encontrar más problemas de este tipo en Ecuaciones bicuadradas resueltas.





Problemas y Ecuaciones ©