En esta página explicamos qué es y cómo calcular el perímetro de un polígono (y de un círculo). También, definimos semiperímetro y damos algunos ejemplos de aplicaciones prácticas en la vida real del perímetro. Con ejemplos y problemas resueltos.
Índice:
El perímetro de un polígono es la suma de las longitudes de sus lados.


El perímetro de un círculo es lo que mide su borde. Si el círculo tiene radio \(R\), el perímetro es

Recordad que \(\pi\) es un número irracional:

El perímetro del círculo es una circunferencia:

El perímetro del círculo de radio 2 metros es \(4\cdot \pi\) metros, que son, aproximadamente, 12,56 metros.
Los polígonos regulares son los polígonos cuyos lados y ángulos interiores miden lo mismo:

En el caso de los polígonos regulares, como sus lados miden lo mismo, el perímetro es el número de lados por la longitud de los lados.
El perímetro de un polígono regular de \(n\) lados de longitud \(L\) es

Tenemos fórmulas que proporcionan el perímetro de los polígonos a partir de la longitud de algunos de sus lados.






El semiperímetro (\(s\)) se define como la mitad del perímetro (\(P\)):

El perímetro del triángulo equilátero de lado 1 es 3:

Por tanto, su semiperímetro es 1,5:

El semiperímetro se utiliza, por ejemplo, para calcular el área (\(A\)) de un triángulo a partir de las longitudes de sus lados (\(a\), \(b\) y \(c\)) mediante la llamada fórmula de Herón:

Como los lados del triángulo del ejemplo anterior miden 1 y su semiperímetro es 1,5, aplicando esta fórmula, el área del triángulo es

Entre las aplicaciones prácticas del perímetro en la vida real, podemos señalar como la más sencilla de entender el cálculo del perímetro de parcelas, fincas o construcciones. Por ejemplo,
¿Cuál es perímetro del siguiente hexágono? ¿Es un polígono regular?

Nos ayudamos de la cuadrícula para medir los lados:

Por tanto, el perímetro es 8:

No es un polígono regular porque algunos lados miden 1 y los otros miden 2.
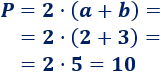
Calcular el perímetro del rectángulo de base 2 y altura 3.
Aplicamos la fórmula del perímetro del rectángulo:

El perímetro es 10.
Calcular el perímetro del pentágono regular sabiendo que uno de sus lados mide 5.
En realidad, como es regular, todos los lados miden lo mismo. Usamos la fórmula del perímetro de un pentágono regular de lado \(L = 5\) es

El perímetro del pentágono es 25.
Se dispone de un polígono regular y se sabe que su perímetro es 24 y que uno de sus lados mide 3. ¿Cuántos lados tiene el polígono?
Sustituimos los datos en la fórmula del perímetro de un polígono regular de \(n\) lados de longitud \(L\):

Calculamos el número de lados:

Por tanto, se trata de un polígono de 8 lados, es decir, es un octógono regular.
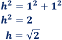
¿Cuál es perímetro del siguiente triángulo? ¿Es un triángulo equilátero, isósceles o escaleno?

Se trata de un triángulo isósceles porque la base mide 2 y los otros dos lados miden lo mismo (una diagonal de la cuadrícula).
La altura del triángulo da lugar a un triángulo rectángulo cuyos catetos miden 1 e hipotenusa \(h\):

Por Pitágoras, podemos calcular la medida del lado \(h\), que es la hipotenusa:

Por tanto, el perímetro del triángulo isósceles es

ISSN 2659-9899