Explicamos cómo calcular la distancia euclídea (o euclidiana) entre dos puntos de la recta, del plano y del espacio reales, es decir, \(\mathbb{R}\), \(\mathbb{R}^2\) y \(\mathbb{R}^3\). También, resolvemos algunos problemas.
Índice:
Sean \(x\) e \(y\) dos puntos de \(\mathbb{R}\), la distancia de \(x\) a \(y\) se define como el valor absoluto de su diferencia:

La distancia entre \(2\) y \(6\) es \(4\):

Representación:

Las siguientes propiedades son fáciles de ver:


Estas propiedades se mantienen para dimensiones mayores.
Representar y calcular la distancia entre los puntos \(6\) y \(-2\) de la recta.
La distancia entre \(6\) y \(-2\) es \(8\):

Representación:

Representar y calcular la distancia entre los puntos \(-4\) y \(-8\) de la recta.
La distancia entre \(-4\) y \(-8\) es \(4\):

Representación:

Sean \((a, b)\) e \((x,y )\) dos puntos de \(\mathbb{R}^2\), se define la distancia de \((a, b)\) a \((x,y )\) como

Es decir, la distancia es la raíz cuadrada de la suma de los cuadrados de la diferencia de las coordenadas de los puntos.
La distancia entre los puntos \((2, 2)\) y \((2, 4)\) es \(2\):

Representación:

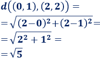
La distancia entre los puntos \((0, 1)\) y \((2, 2)\) es \(\sqrt{5} \simeq 2.24\):

Representación:

Observad que la distancia es la longitud del segmento que une ambos puntos.
Representar y calcular la distancia entre los puntos \((-2,6)\) y \((-5,2)\) del plano.
La distancia entre los puntos \((-2, 6)\) y \((-5, 2)\) es \(5\):

Representación:

Representar y calcular la distancia entre los puntos \((2,4)\) y \((-2,4)\) del plano.
Aplicamos la fórmula:

Representación:

Representar todos los puntos del plano real cuya distancia al punto \((2,2)\) sea igual a \(1\).
Los puntos que distan \(1\) del punto \((2,2)\) es la circunferencia de centro \((2,2)\) y radio \(r=1\):

Recordad que la distancia de cualquier punto de la circunferencia a su centro es igual al radio, que en nuestro caso es \(r=1\).
La ecuación de la circunferencia es

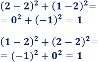
Por ejemplo, los siguientes puntos forman parte de dicha circunferencia:

Ya que verifican la ecuación:

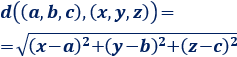
Sean \((a, b, c)\) e \((x, y, z )\) dos puntos de \(\mathbb{R}^3\), se define la distancia de \((a, b, c)\) a \((x, y, z )\) como

La distancia entre los puntos \((1,1,1)\) y \((1,2,3)\) es \(\sqrt{5}\):

Calcular la distancia entre los puntos \((1,2,4)\) y \((4,2,1)\) del espacio.
Aplicamos la fórmula:

Hemos simplificado el resultado extrayendo un \(3\) de la raíz.