Definimos función continua y discontinua, mostramos algunos ejemplos y resolvemos 5 problemas.
Índice:
Intuitivamente, una función es continua cuando podemos representar su gráfica de un solo trazo, es decir, sin levantar el lápiz del papel.
Ejemplo de una función continua:

La gráfica se puede representar de un trazo porque es una recta.
Ejemplo de una función no continua:

Necesitamos realizar dos trazos para representar la gráfica. Esta función es discontinua en el punto \(x=0\). Esto ocurre porque \(x=0\) no tiene imagen:

La función es continua en los reales excepto \(0\):

Una función \(f\) es continua en el punto \(x=a\) si el límite de la función por ambos lados de \(a\) coincide con su imagen, \(f(a)\).
Es decir, \(f\) es continua en \(a\) si

Si esto no ocurre, o bien, no existe \(f(a)\), se dice que \(f\) es discontinua en el punto \(x = a\).
Una función es continua si es continua en todos los puntos de su dominio.
La función \(f(x) = 1/x\) no es continua en \(0\) porque sus límites laterales no coinciden y, además, no existe la imagen de \(0\):

Podemos asegurar de antemano la continuidad de algunas funciones:
Una función polinómica es continua en todos los reales.
Una función racional es continua en los reales que no anulan su denominador.
Una función logarítmica es continua en los reales que hacen su argumento positivo.
Determinar los puntos de discontinuidad de las siguientes funciones racionales:

Representar las gráficas de las tres funciones.
Una función racional es continua en todos los reales excepto en los puntos donde su denominador es \(0\). Por tanto, para hallar los puntos de discontinuidad tenemos que igualar a \(0\) el denominador y resolver la ecuación.
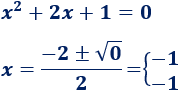
a) Igualamos a \(0\) el denominador y resolvemos la ecuación cuadrática:

La única solución es \(x = -1\).
Observad que podemos escribir la función como

El único punto de discontinuidad es \(x = -1\).
Gráfica de la función:

b) Igualamos a \(0\) el denominador y resolvemos la ecuación cuadrática:

La ecuación tiene dos soluciones.
Observad que podemos simplificar la función:

De este modo, vemos que el único punto que anula el denominador es \(x=0\).
La función es discontinua en \(x=0\).
Gráfica de la función:

c) Igualamos a \(0\) el denominador y resolvemos la ecuación cuadrática:

Observad que podemos escribir la función como

Los puntos de discontinuidad son \(x = 2\) y \(x=-1\).
Gráfica de la función:

Observad que en las tres funciones ocurre que los límites laterales de la función en dichos puntos no coinciden y, además, no existen las imágenes de dichos puntos.
Determinar los puntos de continuidad de la siguiente función:

La función raíz cuadrada es continua en los puntos para los cuales el radicando es no negativo. Tenemos que hallar estos puntos.
Igualamos el radicando a \(0\) y resolvemos la ecuación:

Estas dos soluciones dividen la recta real en tres intervalos:

En uno o dos de estos intervalos, el radicando de la función es no negativo. Para saber cuál es, sólo tenemos que escoger algún punto al azar de cada intervalo.
Primer intervalo:

Segundo intervalo:

Tercer intervalo:

Por tanto, el radicando es no negativo en el primer y tercer intervalo. Luego la función es continua en
![unión de los intervalos (-∞, -2] y [2,+∞) Definimos función continua y discontinua, mostramos algunos ejemplos y resolvemos 5 problemas. Funciones polinómicas, funciones racionales, funciones definidas a trozos, funciones con raíces y funciones trigonométricas. ESO y Bachillerato. Matemáticas. Continuidad de funciones.](https://www.problemasyecuaciones.com/funciones/continua/P2-5.png)
Observad que incluimos los puntos \(x=2\) y \(x=-2\) porque para estos valores el radicando es \(0\).
Gráfica de la función:

Determinar los puntos de discontinuidad de la siguiente función definida a trozos:

La función es continua en cada uno de los tres intervalos puesto que se trata de polinomios. Los posibles candidatos a puntos de discontinuidad son los extremos de los intervalos: \(x=0\) y \(x = 1\).
Vamos a calcular los límites laterales en estos puntos.
Punto \(x=0\):

Punto \(x=1\):

El único punto de discontinuidad es \(x = 0\).
Gráfica de la función:

Determinar el valor del parámetro \(a\) para que la siguiente función definida a trozos sea continua en todo \(\mathbb{R}\):

En cada intervalo, la función es continua por ser polinómica. Para que la función sea continua en todos los reales, los límites laterales en \(x=1\) han de coincidir y ser iguales a \(f(1)\).
Límite por la izquierda:

Límite por la derecha:

Igualamos los resultados:

Por tanto, la función es continua cuando \(a = 5\).
Gráfica de la función:

¿En qué puntos es discontinua la función tangente?
La función tangente es el cociente de las funciones seno y coseno:

Entre \(0\) y \(2\pi\) radianes, el denominador se anula en los puntos \(\pi/2\) y \(3\pi/2\). Pero como el coseno es una función periódica, se anula cada \(\pi\) radianes.
Por tanto, la tangente es discontinua en el siguiente conjunto de puntos:

Gráfica de la función:

Más problemas similares: Continuidad de funciones.