Potencias enésimas de matrices

En esta página veremos ejemplos de cómo calcular las potencias enésimas de matrices cuadradas de dimensión 2 y 3, aunque el método es el mismo para todas las dimensiones.

Índice de contenidos:

Introducción

Sólo podemos calcular potencias de matrices cuadradas porque el número de filas debe coincidir con el de filas para poder calcular los productos.

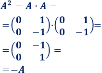
Algunas matrices presentan una especie de patrón en sus potencias. Por ejemplo, sea la matriz

Calculamos potencias enésimas de matrices que siguen un patrón. Bachillerato. Universidad. Matemáticas.

Calculamos su cuadrado:

Calculamos potencias enésimas de matrices que siguen un patrón. Bachillerato. Universidad. Matemáticas.

Como \(A^2\) es \(-A\), las potencias de \(A\) forman una secuencia que se repite:

Calculamos potencias enésimas de matrices que siguen un patrón. Bachillerato. Universidad. Matemáticas.

Por tanto, la potencia \(A^n\) es igual a \(A\) si \(n\) es impar y es igual a \(-A \) si \(n\) es par:

Calculamos potencias enésimas de matrices que siguen un patrón. Bachillerato. Universidad. Matemáticas.

Luego podemos calcular cualquier potencia \(A\) rápidamente con la fórmula dada.

Más ejemplos

Calculad la matríz enésima de las 5 siguientes matrices:

Matriz 1

Calculamos potencias enésimas de matrices que siguen un patrón. Bachillerato. Universidad. Matemáticas.

Solución:

Calculamos \(A\) al cuadrado:

Calculamos potencias enésimas de matrices que siguen un patrón. Bachillerato. Universidad. Matemáticas.

Calculamos \(A\) al cubo:

Calculamos potencias enésimas de matrices que siguen un patrón. Bachillerato. Universidad. Matemáticas.

Es fácil ver que la potencia enésima de la matriz \(A\) es

Calculamos potencias enésimas de matrices que siguen un patrón. Bachillerato. Universidad. Matemáticas.



Matriz 2

Calculamos potencias enésimas de matrices que siguen un patrón. Bachillerato. Universidad. Matemáticas.

Solución:

Calculamos \(A\) al cuadrado:

Calculamos potencias enésimas de matrices que siguen un patrón. Bachillerato. Universidad. Matemáticas.

El cuadrado de \(A\) es la matriz identidad. Por tanto, \(A\) al cubo es \(A\):

Calculamos potencias enésimas de matrices que siguen un patrón. Bachillerato. Universidad. Matemáticas.

Las potencias de \(A\) dependen de si el exponente es par o impar:

Calculamos potencias enésimas de matrices que siguen un patrón. Bachillerato. Universidad. Matemáticas.

Por tanto, la potencia enésima de \(A\) es

Calculamos potencias enésimas de matrices que siguen un patrón. Bachillerato. Universidad. Matemáticas.


Matriz 3

Calculamos potencias enésimas de matrices que siguen un patrón. Bachillerato. Universidad. Matemáticas.

Solución:

Calculamos \(A\) al cuadrado:

Calculamos potencias enésimas de matrices que siguen un patrón. Bachillerato. Universidad. Matemáticas.

En cada potencia, los exponentes de la diagonal aumentan. Por tanto, la potencia enésima es

Calculamos potencias enésimas de matrices que siguen un patrón. Bachillerato. Universidad. Matemáticas.



Matriz 4

Calculamos potencias enésimas de matrices que siguen un patrón. Bachillerato. Universidad. Matemáticas.

Solución:

Teniendo en cuenta que la matriz es diagonal y que en el problema anterior vimos que los exponentes de la diagonal aumentan en cada potencia, ya podemos asegurar que la potencia enésima de la matriz es

Calculamos potencias enésimas de matrices que siguen un patrón. Bachillerato. Universidad. Matemáticas.


Matriz 5

Calculamos potencias enésimas de matrices que siguen un patrón. Bachillerato. Universidad. Matemáticas.

Solución:

Calculamos \(A\) al cuadrado:

Calculamos potencias enésimas de matrices que siguen un patrón. Bachillerato. Universidad. Matemáticas.

Calculamos \(A\) al cubo:

Calculamos potencias enésimas de matrices que siguen un patrón. Bachillerato. Universidad. Matemáticas.

Por tanto, la potencia enésima de la matriz \(A\) es

Calculamos potencias enésimas de matrices que siguen un patrón. Bachillerato. Universidad. Matemáticas.

Podéis encontrar más problemas de este tipo en potencias de matrices.

Calculadoras de matrices:

Más información y problemas resueltos de álgebra matricial:



Problemas y Ecuaciones ©