Método de Eliminación de Gauss

En esta página vamos a explicar el método de eliminación de Gauss mientras resolvemos 4 sistemas de 3 ecuaciones lineales con 3 incógnitas (uno de cada tipo y otro extra).

Nota: para reducir el texto, consideramos que ya sabemos qué es un sistema de ecuaciones lineales.

Índice de contenidos:

  1. Tipos de sistemas
  2. Forma matricial de un sistema
  3. Método de eliminación de Gauss
  4. Sistemas resueltos por eliminación de Gauss

1. Tipos de sistemas

Un sistema de ecuaciones lineales puede ser:

2. Forma matricial de un sistema

La forma matricial de un sistema de ecuaciones lineales es

Explicamos el método de eliminación de Gauss y el de Gauss-Jordan mientras resolvemos 4 sistemas de 3 ecuaciones lineales con 3 incógnitas. Sistema compatible determinado e indeterminado y sistema incompatible. Sistemas de ecuaciones lineales resueltos. Matriz ampliada. Álgebra matricial. Bachillerato. Universidad. Matemáticas.

donde

Ejemplo

Explicamos el método de eliminación de Gauss y el de Gauss-Jordan mientras resolvemos 4 sistemas de 3 ecuaciones lineales con 3 incógnitas. Sistema compatible determinado e indeterminado y sistema incompatible. Sistemas de ecuaciones lineales resueltos. Matriz ampliada. Álgebra matricial. Bachillerato. Universidad. Matemáticas.

Se trata de un sistema con 3 ecuaciones lineales y 3 incógnitas.

Su forma matricial es

Explicamos el método de eliminación de Gauss y el de Gauss-Jordan mientras resolvemos 4 sistemas de 3 ecuaciones lineales con 3 incógnitas. Sistema compatible determinado e indeterminado y sistema incompatible. Sistemas de ecuaciones lineales resueltos. Matriz ampliada. Álgebra matricial. Bachillerato. Universidad. Matemáticas.

Y su matriz ampliada o aumentada es

Explicamos el método de eliminación de Gauss y el de Gauss-Jordan mientras resolvemos 4 sistemas de 3 ecuaciones lineales con 3 incógnitas. Sistema compatible determinado e indeterminado y sistema incompatible. Sistemas de ecuaciones lineales resueltos. Matriz ampliada. Álgebra matricial. Bachillerato. Universidad. Matemáticas.

Observad que un sistema queda determinado por su matriz ampliada (o cualquier matriz equivalente a ésta).


3. Método de eliminación de Gauss


Recordad que para resolver un sistema de ecuaciones podemos, sin alterar las soluciones del sistema:

Esto es precisamente lo que se hace en el método de Gauss: se modifican las ecuaciones para obtener un sistema mucho más fácil de resolver, pero, en lugar de hacerlo sobre las ecuaciones, se hace sobre la matriz ampliada del sistema.


Ejemplo

Si multiplicamos por 2 todas las ecuaciones del ejemplo anterior, tenemos el sistema

Explicamos el método de eliminación de Gauss y el de Gauss-Jordan mientras resolvemos 4 sistemas de 3 ecuaciones lineales con 3 incógnitas. Sistema compatible determinado e indeterminado y sistema incompatible. Sistemas de ecuaciones lineales resueltos. Matriz ampliada. Álgebra matricial. Bachillerato. Universidad. Matemáticas.

La matriz ampliada de este sistema es

Explicamos el método de eliminación de Gauss y el de Gauss-Jordan mientras resolvemos 4 sistemas de 3 ecuaciones lineales con 3 incógnitas. Sistema compatible determinado e indeterminado y sistema incompatible. Sistemas de ecuaciones lineales resueltos. Matriz ampliada. Álgebra matricial. Bachillerato. Universidad. Matemáticas.

Es decir, es la matriz ampliada del ejemplo anterior pero multiplicada por 2.

Obviamente, multiplicar todas las ecuaciones por 2 no sirve de mucha ayuda. Lo que queremos dar a entender es que realizar operaciones entre las filas de la matriz ampliada es lo mismo que realizarlas sobre las ecuaciones del sistema.

El método de eliminación de Gauss consiste en operar sobre la matriz ampliada del sistema hasta hallar la forma escalonada (una matriz triangular superior). Así, se obtiene un sistema fácil de resolver por sustitución hacia atrás.

Si finalizamos las operaciones al hallar la forma escalonada reducida (forma lo más parecida a la matriz identidad), entonces el método se denomina eliminación de Gauss-Jordan.

En los ejemplos veremos que una vez terminado el proceso, resolver el sistema es directo. Además de esto, veremos que

Nota: La clasificación de los sistemas según la forma escalonada de su matriz ampliada se deduce del teorema de Rouché-Frobenius.

4. Sistemas resueltos por Gauss


Nota: durante el método, seguiremos llamando \(A^*\) a las matrices obtenidas porque son equivalentes a la matriz ampliada inicial.

Sistema 1

Explicamos el método de eliminación de Gauss y el de Gauss-Jordan mientras resolvemos 4 sistemas de 3 ecuaciones lineales con 3 incógnitas. Sistema compatible determinado e indeterminado y sistema incompatible. Sistemas de ecuaciones lineales resueltos. Matriz ampliada. Álgebra matricial. Bachillerato. Universidad. Matemáticas.

Solución:

La matriz ampliada del sistema es

Explicamos el método de eliminación de Gauss y el de Gauss-Jordan mientras resolvemos 4 sistemas de 3 ecuaciones lineales con 3 incógnitas. Sistema compatible determinado e indeterminado y sistema incompatible. Sistemas de ecuaciones lineales resueltos. Matriz ampliada. Álgebra matricial. Bachillerato. Universidad. Matemáticas.

A fila 1 le restamos dos veces la fila 3 y a la fila 2 le restamos la fila 3:

Explicamos el método de eliminación de Gauss y el de Gauss-Jordan mientras resolvemos 4 sistemas de 3 ecuaciones lineales con 3 incógnitas. Sistema compatible determinado e indeterminado y sistema incompatible. Sistemas de ecuaciones lineales resueltos. Matriz ampliada. Álgebra matricial. Bachillerato. Universidad. Matemáticas.

A la fila 1 le restamos la fila 2:

Explicamos el método de eliminación de Gauss y el de Gauss-Jordan mientras resolvemos 4 sistemas de 3 ecuaciones lineales con 3 incógnitas. Sistema compatible determinado e indeterminado y sistema incompatible. Sistemas de ecuaciones lineales resueltos. Matriz ampliada. Álgebra matricial. Bachillerato. Universidad. Matemáticas.

Dividimos la fila 1 entre 3:

Explicamos el método de eliminación de Gauss y el de Gauss-Jordan mientras resolvemos 4 sistemas de 3 ecuaciones lineales con 3 incógnitas. Sistema compatible determinado e indeterminado y sistema incompatible. Sistemas de ecuaciones lineales resueltos. Matriz ampliada. Álgebra matricial. Bachillerato. Universidad. Matemáticas.

A la fila 3 le sumamos la fila 1 y a la fila 2 le restamos dos veces la fila 1:

Explicamos el método de eliminación de Gauss y el de Gauss-Jordan mientras resolvemos 4 sistemas de 3 ecuaciones lineales con 3 incógnitas. Sistema compatible determinado e indeterminado y sistema incompatible. Sistemas de ecuaciones lineales resueltos. Matriz ampliada. Álgebra matricial. Bachillerato. Universidad. Matemáticas.

Dividimos la fila 2 entre 3:

Explicamos el método de eliminación de Gauss y el de Gauss-Jordan mientras resolvemos 4 sistemas de 3 ecuaciones lineales con 3 incógnitas. Sistema compatible determinado e indeterminado y sistema incompatible. Sistemas de ecuaciones lineales resueltos. Matriz ampliada. Álgebra matricial. Bachillerato. Universidad. Matemáticas.

A la fila 3 le sumamos la fila 2:

Explicamos el método de eliminación de Gauss y el de Gauss-Jordan mientras resolvemos 4 sistemas de 3 ecuaciones lineales con 3 incógnitas. Sistema compatible determinado e indeterminado y sistema incompatible. Sistemas de ecuaciones lineales resueltos. Matriz ampliada. Álgebra matricial. Bachillerato. Universidad. Matemáticas.

Reordenamos las 3 filas:

Explicamos el método de eliminación de Gauss y el de Gauss-Jordan mientras resolvemos 4 sistemas de 3 ecuaciones lineales con 3 incógnitas. Sistema compatible determinado e indeterminado y sistema incompatible. Sistemas de ecuaciones lineales resueltos. Matriz ampliada. Álgebra matricial. Bachillerato. Universidad. Matemáticas.

Ya tenemos resuelto el sistema porque la matriz obtenida es la solución:

Explicamos el método de eliminación de Gauss y el de Gauss-Jordan mientras resolvemos 4 sistemas de 3 ecuaciones lineales con 3 incógnitas. Sistema compatible determinado e indeterminado y sistema incompatible. Sistemas de ecuaciones lineales resueltos. Matriz ampliada. Álgebra matricial. Bachillerato. Universidad. Matemáticas.

El sistema es compatible determinado.


Sistema 2

Explicamos el método de eliminación de Gauss y el de Gauss-Jordan mientras resolvemos 4 sistemas de 3 ecuaciones lineales con 3 incógnitas. Sistema compatible determinado e indeterminado y sistema incompatible. Sistemas de ecuaciones lineales resueltos. Matriz ampliada. Álgebra matricial. Bachillerato. Universidad. Matemáticas.

Solución:

La matriz ampliada del sistema es

Explicamos el método de eliminación de Gauss y el de Gauss-Jordan mientras resolvemos 4 sistemas de 3 ecuaciones lineales con 3 incógnitas. Sistema compatible determinado e indeterminado y sistema incompatible. Sistemas de ecuaciones lineales resueltos. Matriz ampliada. Álgebra matricial. Bachillerato. Universidad. Matemáticas.

A la fila 2 le restamos dos veces la fila 1 y a la fila 3 le restamos tres veces la fila 1:

Explicamos el método de eliminación de Gauss y el de Gauss-Jordan mientras resolvemos 4 sistemas de 3 ecuaciones lineales con 3 incógnitas. Sistema compatible determinado e indeterminado y sistema incompatible. Sistemas de ecuaciones lineales resueltos. Matriz ampliada. Álgebra matricial. Bachillerato. Universidad. Matemáticas.

A la fila 3 le restamos la fila 2:

Explicamos el método de eliminación de Gauss y el de Gauss-Jordan mientras resolvemos 4 sistemas de 3 ecuaciones lineales con 3 incógnitas. Sistema compatible determinado e indeterminado y sistema incompatible. Sistemas de ecuaciones lineales resueltos. Matriz ampliada. Álgebra matricial. Bachillerato. Universidad. Matemáticas.

El sistema es incompatible (no tiene solución) porque la tercera fila representa la ecuación imposible o igualdad falsa:

Explicamos el método de eliminación de Gauss y el de Gauss-Jordan mientras resolvemos 4 sistemas de 3 ecuaciones lineales con 3 incógnitas. Sistema compatible determinado e indeterminado y sistema incompatible. Sistemas de ecuaciones lineales resueltos. Matriz ampliada. Álgebra matricial. Bachillerato. Universidad. Matemáticas.



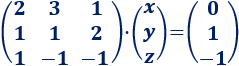
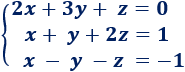
Sistema 3

Explicamos el método de eliminación de Gauss y el de Gauss-Jordan mientras resolvemos 4 sistemas de 3 ecuaciones lineales con 3 incógnitas. Sistema compatible determinado e indeterminado y sistema incompatible. Sistemas de ecuaciones lineales resueltos. Matriz ampliada. Álgebra matricial. Bachillerato. Universidad. Matemáticas.

Solución:

La matriz ampliada del sistema es

Explicamos el método de eliminación de Gauss y el de Gauss-Jordan mientras resolvemos 4 sistemas de 3 ecuaciones lineales con 3 incógnitas. Sistema compatible determinado e indeterminado y sistema incompatible. Sistemas de ecuaciones lineales resueltos. Matriz ampliada. Álgebra matricial. Bachillerato. Universidad. Matemáticas.

Sumamos a las filas 1 y 2 la fila 3:

Explicamos el método de eliminación de Gauss y el de Gauss-Jordan mientras resolvemos 4 sistemas de 3 ecuaciones lineales con 3 incógnitas. Sistema compatible determinado e indeterminado y sistema incompatible. Sistemas de ecuaciones lineales resueltos. Matriz ampliada. Álgebra matricial. Bachillerato. Universidad. Matemáticas.

A la fila 2 le restamos dos veces la fila 1:

Explicamos el método de eliminación de Gauss y el de Gauss-Jordan mientras resolvemos 4 sistemas de 3 ecuaciones lineales con 3 incógnitas. Sistema compatible determinado e indeterminado y sistema incompatible. Sistemas de ecuaciones lineales resueltos. Matriz ampliada. Álgebra matricial. Bachillerato. Universidad. Matemáticas.

Cambiamos el signo de la fila 3:

Explicamos el método de eliminación de Gauss y el de Gauss-Jordan mientras resolvemos 4 sistemas de 3 ecuaciones lineales con 3 incógnitas. Sistema compatible determinado e indeterminado y sistema incompatible. Sistemas de ecuaciones lineales resueltos. Matriz ampliada. Álgebra matricial. Bachillerato. Universidad. Matemáticas.

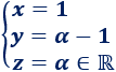
Cuando tenemos una fila de ceros, el sistema no es determinado (hay más incógnitas que ecuaciones). Si el sistema no es incompatible, entonces es indeterminado.

Tenemos la matriz ampliada del sistema

Explicamos el método de eliminación de Gauss y el de Gauss-Jordan mientras resolvemos 4 sistemas de 3 ecuaciones lineales con 3 incógnitas. Sistema compatible determinado e indeterminado y sistema incompatible. Sistemas de ecuaciones lineales resueltos. Matriz ampliada. Álgebra matricial. Bachillerato. Universidad. Matemáticas.

O bien,

Explicamos el método de eliminación de Gauss y el de Gauss-Jordan mientras resolvemos 4 sistemas de 3 ecuaciones lineales con 3 incógnitas. Sistema compatible determinado e indeterminado y sistema incompatible. Sistemas de ecuaciones lineales resueltos. Matriz ampliada. Álgebra matricial. Bachillerato. Universidad. Matemáticas.

Las soluciones del sistema son

Explicamos el método de eliminación de Gauss y el de Gauss-Jordan mientras resolvemos 4 sistemas de 3 ecuaciones lineales con 3 incógnitas. Sistema compatible determinado e indeterminado y sistema incompatible. Sistemas de ecuaciones lineales resueltos. Matriz ampliada. Álgebra matricial. Bachillerato. Universidad. Matemáticas.

Podéis observar que el sistema tiene infinitas soluciones: para cada valor de \(\alpha\) hay una solución distinta.

Por ejemplo, si \(\alpha = 2\), tenemos la solución

Explicamos el método de eliminación de Gauss y el de Gauss-Jordan mientras resolvemos 4 sistemas de 3 ecuaciones lineales con 3 incógnitas. Sistema compatible determinado e indeterminado y sistema incompatible. Sistemas de ecuaciones lineales resueltos. Matriz ampliada. Álgebra matricial. Bachillerato. Universidad. Matemáticas.

Y si \(\alpha = 3\), tenemos la solución

Explicamos el método de eliminación de Gauss y el de Gauss-Jordan mientras resolvemos 4 sistemas de 3 ecuaciones lineales con 3 incógnitas. Sistema compatible determinado e indeterminado y sistema incompatible. Sistemas de ecuaciones lineales resueltos. Matriz ampliada. Álgebra matricial. Bachillerato. Universidad. Matemáticas.


Sistema 4

Explicamos el método de eliminación de Gauss y el de Gauss-Jordan mientras resolvemos 4 sistemas de 3 ecuaciones lineales con 3 incógnitas. Sistema compatible determinado e indeterminado y sistema incompatible. Sistemas de ecuaciones lineales resueltos. Matriz ampliada. Álgebra matricial. Bachillerato. Universidad. Matemáticas.

Solución:

La matriz ampliada del sistema es

Explicamos el método de eliminación de Gauss y el de Gauss-Jordan mientras resolvemos 4 sistemas de 3 ecuaciones lineales con 3 incógnitas. Sistema compatible determinado e indeterminado y sistema incompatible. Sistemas de ecuaciones lineales resueltos. Matriz ampliada. Álgebra matricial. Bachillerato. Universidad. Matemáticas.

A la fila 2 le restamos tres veces la fila 1:

Explicamos el método de eliminación de Gauss y el de Gauss-Jordan mientras resolvemos 4 sistemas de 3 ecuaciones lineales con 3 incógnitas. Sistema compatible determinado e indeterminado y sistema incompatible. Sistemas de ecuaciones lineales resueltos. Matriz ampliada. Álgebra matricial. Bachillerato. Universidad. Matemáticas.

A la fila 3 le restamos cuatro veces la fila 1:

Explicamos el método de eliminación de Gauss y el de Gauss-Jordan mientras resolvemos 4 sistemas de 3 ecuaciones lineales con 3 incógnitas. Sistema compatible determinado e indeterminado y sistema incompatible. Sistemas de ecuaciones lineales resueltos. Matriz ampliada. Álgebra matricial. Bachillerato. Universidad. Matemáticas.

A la fila 3 le restamos la fila 2:

Explicamos el método de eliminación de Gauss y el de Gauss-Jordan mientras resolvemos 4 sistemas de 3 ecuaciones lineales con 3 incógnitas. Sistema compatible determinado e indeterminado y sistema incompatible. Sistemas de ecuaciones lineales resueltos. Matriz ampliada. Álgebra matricial. Bachillerato. Universidad. Matemáticas.

Cambiamos de signo la fila 3:

Explicamos el método de eliminación de Gauss y el de Gauss-Jordan mientras resolvemos 4 sistemas de 3 ecuaciones lineales con 3 incógnitas. Sistema compatible determinado e indeterminado y sistema incompatible. Sistemas de ecuaciones lineales resueltos. Matriz ampliada. Álgebra matricial. Bachillerato. Universidad. Matemáticas.

A la fila 2 le sumamos cuatro veces la fila 3:

Explicamos el método de eliminación de Gauss y el de Gauss-Jordan mientras resolvemos 4 sistemas de 3 ecuaciones lineales con 3 incógnitas. Sistema compatible determinado e indeterminado y sistema incompatible. Sistemas de ecuaciones lineales resueltos. Matriz ampliada. Álgebra matricial. Bachillerato. Universidad. Matemáticas.

Dividimos entre -5 la fila 2:

Explicamos el método de eliminación de Gauss y el de Gauss-Jordan mientras resolvemos 4 sistemas de 3 ecuaciones lineales con 3 incógnitas. Sistema compatible determinado e indeterminado y sistema incompatible. Sistemas de ecuaciones lineales resueltos. Matriz ampliada. Álgebra matricial. Bachillerato. Universidad. Matemáticas.

A la fila 1 le restamos dos veces la fila 2:

Explicamos el método de eliminación de Gauss y el de Gauss-Jordan mientras resolvemos 4 sistemas de 3 ecuaciones lineales con 3 incógnitas. Sistema compatible determinado e indeterminado y sistema incompatible. Sistemas de ecuaciones lineales resueltos. Matriz ampliada. Álgebra matricial. Bachillerato. Universidad. Matemáticas.

A la fila 1 le restamos dos veces la fila 3:

Explicamos el método de eliminación de Gauss y el de Gauss-Jordan mientras resolvemos 4 sistemas de 3 ecuaciones lineales con 3 incógnitas. Sistema compatible determinado e indeterminado y sistema incompatible. Sistemas de ecuaciones lineales resueltos. Matriz ampliada. Álgebra matricial. Bachillerato. Universidad. Matemáticas.

Por tanto, el sistema es compatible determinado y su solución es

Explicamos el método de eliminación de Gauss y el de Gauss-Jordan mientras resolvemos 4 sistemas de 3 ecuaciones lineales con 3 incógnitas. Sistema compatible determinado e indeterminado y sistema incompatible. Sistemas de ecuaciones lineales resueltos. Matriz ampliada. Álgebra matricial. Bachillerato. Universidad. Matemáticas.


Más ejemplos: sistemas de ecuaciones resueltos por eliminación de Gauss.

Calculadoras de matrices:


Más información y problemas resueltos de álgebra matricial:



Problemas y Ecuaciones ©