Ecuaciones matriciales

En esta página vamos a explicar cómo resolver ecuaciones matriciales. En total, resolveremos 7 ecuaciones. La mayoría de las matrices son cuadradas y de dimensión 2 ó 3.

Introducción

Una ecuación matricial es una ecuación cuya incógnita es una matriz. Para poder resolver una ecuación matricial, tendremos que sumar, restar y multiplicar matrices y calcular matrices inversas.

Un ejemplo de una ecuación matricial es

Resolución de ecuaciones matriciales paso a paso. Matriz inversa. Matriz incógnita. Secundaria. Bachillerato. Universidad. Matemáticas. Álgebra matricial.


La incógnita de la ecuación es la matriz

Resolución de ecuaciones matriciales paso a paso. Matriz inversa. Matriz incógnita. Secundaria. Bachillerato. Universidad. Matemáticas. Álgebra matricial.

Y la solución de la ecuación es

Resolución de ecuaciones matriciales paso a paso. Matriz inversa. Matriz incógnita. Secundaria. Bachillerato. Universidad. Matemáticas. Álgebra matricial.

Si os fijáis, podemos calcular el producto de la ecuación matricial obteniendo así un sistema de ecuaciones lineales:

Resolución de ecuaciones matriciales paso a paso. Matriz inversa. Matriz incógnita. Secundaria. Bachillerato. Universidad. Matemáticas. Álgebra matricial.

Pero, generalmente, no resolveremos la ecuación matricial resolviendo el sistema de ecuaciones lineales asociado (frecuentemente tendríamos 9 ó más ecuaciones), sino multiplicando por las matrices inversas que aparecen en la ecuación.

Por ejemplo, si definimos las matrices

Resolución de ecuaciones matriciales paso a paso. Matriz inversa. Matriz incógnita. Secundaria. Bachillerato. Universidad. Matemáticas. Álgebra matricial.

Entonces, la ecuación matricial que tenemos es

Resolución de ecuaciones matriciales paso a paso. Matriz inversa. Matriz incógnita. Secundaria. Bachillerato. Universidad. Matemáticas. Álgebra matricial.

La matriz \(A\) es regular (determinante distinto de 0) y, por tanto, tiene matriz inversa:

Resolución de ecuaciones matriciales paso a paso. Matriz inversa. Matriz incógnita. Secundaria. Bachillerato. Universidad. Matemáticas. Álgebra matricial.

Multiplicamos toda la ecuación por la inversa de \(A\) (la matriz \(I\) es la identidad):

Resolución de ecuaciones matriciales paso a paso. Matriz inversa. Matriz incógnita. Secundaria. Bachillerato. Universidad. Matemáticas. Álgebra matricial.

Por tanto, podemos resolver la ecuación calculando el producto de la matriz inversa de \(A\) por la matriz \(B\):

Resolución de ecuaciones matriciales paso a paso. Matriz inversa. Matriz incógnita. Secundaria. Bachillerato. Universidad. Matemáticas. Álgebra matricial.

Sin embargo, no siempre es todo tan fácil. Por ejemplo, si las matrices de la ecuación no son cuadradas, no podemos calcular su inversa. Entonces, tendremos que averiguar cómo resolverla.

Ecuaciones matriciales resueltas


Ecuación matricial 1

Resolución de ecuaciones matriciales paso a paso. Matriz inversa. Matriz incógnita. Secundaria. Bachillerato. Universidad. Matemáticas. Álgebra matricial.

donde \(A\), \(B\) y \(C\) son las matrices

Resolución de ecuaciones matriciales paso a paso. Matriz inversa. Matriz incógnita. Secundaria. Bachillerato. Universidad. Matemáticas. Álgebra matricial.

Solución:

Pasamos la matriz \(B\) restando al otro lado:

Resolución de ecuaciones matriciales paso a paso. Matriz inversa. Matriz incógnita. Secundaria. Bachillerato. Universidad. Matemáticas. Álgebra matricial.

La matriz \(A\) tiene inversa y es

Resolución de ecuaciones matriciales paso a paso. Matriz inversa. Matriz incógnita. Secundaria. Bachillerato. Universidad. Matemáticas. Álgebra matricial.

Multiplicamos la ecuación por la inversa de \(A\) para calcular la matriz solución de la ecuación:

Resolución de ecuaciones matriciales paso a paso. Matriz inversa. Matriz incógnita. Secundaria. Bachillerato. Universidad. Matemáticas. Álgebra matricial.


Ecuación matricial 2

Resolución de ecuaciones matriciales paso a paso. Matriz inversa. Matriz incógnita. Secundaria. Bachillerato. Universidad. Matemáticas. Álgebra matricial.

donde \(A\) y \(B\) son las matrices

Resolución de ecuaciones matriciales paso a paso. Matriz inversa. Matriz incógnita. Secundaria. Bachillerato. Universidad. Matemáticas. Álgebra matricial.

Solución:

Las matrices \(A\) y \(B\) tienen inversa y son

Resolución de ecuaciones matriciales paso a paso. Matriz inversa. Matriz incógnita. Secundaria. Bachillerato. Universidad. Matemáticas. Álgebra matricial.

Multiplicamos la ecuación por la inversa de \(A\):

Resolución de ecuaciones matriciales paso a paso. Matriz inversa. Matriz incógnita. Secundaria. Bachillerato. Universidad. Matemáticas. Álgebra matricial.

Y por la inversa de \(B\):

Resolución de ecuaciones matriciales paso a paso. Matriz inversa. Matriz incógnita. Secundaria. Bachillerato. Universidad. Matemáticas. Álgebra matricial.

Calculamos los productos matriciales:

Resolución de ecuaciones matriciales paso a paso. Matriz inversa. Matriz incógnita. Secundaria. Bachillerato. Universidad. Matemáticas. Álgebra matricial.



Ecuación matricial 3

Resolución de ecuaciones matriciales paso a paso. Matriz inversa. Matriz incógnita. Secundaria. Bachillerato. Universidad. Matemáticas. Álgebra matricial.

donde \(A\), \(B\) y \(C\) son las matrices

Resolución de ecuaciones matriciales paso a paso. Matriz inversa. Matriz incógnita. Secundaria. Bachillerato. Universidad. Matemáticas. Álgebra matricial.

Solución:

Pasamos el sumando \(XB\) restando al otro lado:

Resolución de ecuaciones matriciales paso a paso. Matriz inversa. Matriz incógnita. Secundaria. Bachillerato. Universidad. Matemáticas. Álgebra matricial.

Extraemos factor común de la matriz \(X\) en el lado izquierdo:

Resolución de ecuaciones matriciales paso a paso. Matriz inversa. Matriz incógnita. Secundaria. Bachillerato. Universidad. Matemáticas. Álgebra matricial.

Por tanto, si la matriz \(A-B\) es regular, multiplicamos por su inversa para hallar la solución de la ecuación:

Resolución de ecuaciones matriciales paso a paso. Matriz inversa. Matriz incógnita. Secundaria. Bachillerato. Universidad. Matemáticas. Álgebra matricial.

La resta de las matrices \(A\) y \(B\) es

Resolución de ecuaciones matriciales paso a paso. Matriz inversa. Matriz incógnita. Secundaria. Bachillerato. Universidad. Matemáticas. Álgebra matricial.

La matriz tiene inversa y es

Resolución de ecuaciones matriciales paso a paso. Matriz inversa. Matriz incógnita. Secundaria. Bachillerato. Universidad. Matemáticas. Álgebra matricial.

Observad que la matriz es igual a su inversa.

Calculamos la incógnita:

Resolución de ecuaciones matriciales paso a paso. Matriz inversa. Matriz incógnita. Secundaria. Bachillerato. Universidad. Matemáticas. Álgebra matricial.



Ecuación matricial 4

Resolución de ecuaciones matriciales paso a paso. Matriz inversa. Matriz incógnita. Secundaria. Bachillerato. Universidad. Matemáticas. Álgebra matricial.

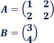
donde \(A\) es la matriz

Resolución de ecuaciones matriciales paso a paso. Matriz inversa. Matriz incógnita. Secundaria. Bachillerato. Universidad. Matemáticas. Álgebra matricial.

Solución:

La matriz \(A\) tiene inversa y es

Resolución de ecuaciones matriciales paso a paso. Matriz inversa. Matriz incógnita. Secundaria. Bachillerato. Universidad. Matemáticas. Álgebra matricial.

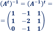
Recordad que la matriz inversa de la traspuesta de una matriz \(A\) es la traspuesta de la inversa de \(A\):

Resolución de ecuaciones matriciales paso a paso. Matriz inversa. Matriz incógnita. Secundaria. Bachillerato. Universidad. Matemáticas. Álgebra matricial.

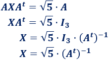
Multiplicamos la ecuación por las inversas:

Resolución de ecuaciones matriciales paso a paso. Matriz inversa. Matriz incógnita. Secundaria. Bachillerato. Universidad. Matemáticas. Álgebra matricial.

Por tanto, la solución de la ecuación matricial es

Resolución de ecuaciones matriciales paso a paso. Matriz inversa. Matriz incógnita. Secundaria. Bachillerato. Universidad. Matemáticas. Álgebra matricial.


Ecuación matricial 5

Resolución de ecuaciones matriciales paso a paso. Matriz inversa. Matriz incógnita. Secundaria. Bachillerato. Universidad. Matemáticas. Álgebra matricial.

donde \(A\) y \(B\) son las matrices

Resolución de ecuaciones matriciales paso a paso. Matriz inversa. Matriz incógnita. Secundaria. Bachillerato. Universidad. Matemáticas. Álgebra matricial.

Solución:

Sacamos factor común de la matriz \(X\) en la ecuación:

Resolución de ecuaciones matriciales paso a paso. Matriz inversa. Matriz incógnita. Secundaria. Bachillerato. Universidad. Matemáticas. Álgebra matricial.

siendo \(I\) la matriz identidad.

Si la matriz \(A-I\) es regular, entonces la solución de la ecuación es

Resolución de ecuaciones matriciales paso a paso. Matriz inversa. Matriz incógnita. Secundaria. Bachillerato. Universidad. Matemáticas. Álgebra matricial.

Calculamos la resta de las matrices \(A\) e \(I\):

Resolución de ecuaciones matriciales paso a paso. Matriz inversa. Matriz incógnita. Secundaria. Bachillerato. Universidad. Matemáticas. Álgebra matricial.

La matriz tiene inversa y es

Resolución de ecuaciones matriciales paso a paso. Matriz inversa. Matriz incógnita. Secundaria. Bachillerato. Universidad. Matemáticas. Álgebra matricial.

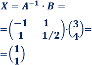
Calculamos la matriz incógnita:

Resolución de ecuaciones matriciales paso a paso. Matriz inversa. Matriz incógnita. Secundaria. Bachillerato. Universidad. Matemáticas. Álgebra matricial.



Ecuación matricial 6

Resolución de ecuaciones matriciales paso a paso. Matriz inversa. Matriz incógnita. Secundaria. Bachillerato. Universidad. Matemáticas. Álgebra matricial.

donde \(A\), \(B\) y \(C\) son las matrices

Resolución de ecuaciones matriciales paso a paso. Matriz inversa. Matriz incógnita. Secundaria. Bachillerato. Universidad. Matemáticas. Álgebra matricial.

Solución:

Como las matrices \(A\) y \(B\) tienen inversa, sólo tenemos que multiplicar la ecuación por ellas:

Resolución de ecuaciones matriciales paso a paso. Matriz inversa. Matriz incógnita. Secundaria. Bachillerato. Universidad. Matemáticas. Álgebra matricial.

Calculamos las inversas:

Resolución de ecuaciones matriciales paso a paso. Matriz inversa. Matriz incógnita. Secundaria. Bachillerato. Universidad. Matemáticas. Álgebra matricial.

Calculamos la matriz incógnita:

Resolución de ecuaciones matriciales paso a paso. Matriz inversa. Matriz incógnita. Secundaria. Bachillerato. Universidad. Matemáticas. Álgebra matricial.

Podéis encontrar más problemas de este tipo en ecuaciones matriciales y sistemas.

Calculadoras de matrices:

Más información y problemas resueltos de álgebra matricial:



Problemas y Ecuaciones ©