En esta página explicamos cuáles son los límites cuando \(x\to\pm\infty\) de la función exponencial \(f(x) = a^x\) en función del valor de la base, \(a\).
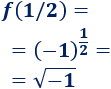
No consideramos el caso \(a< 0\) ya que esta función no está bien definida (en los reales). Por ejemplo, la imagen de \(1/2\) de la función \(f(x) = (-1)^x\) sería un complejo:

Finalmente, explicamos un método para resolver las indeterminaciones que aparecen en los límites de funciones con cocientes de exponenciales.
Índice:
Sea la función exponencial \(f(x) = a^x\).
Supongamos que \(a > 1\), entonces

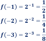
Consideremos la función \(f(x) = 2^x\).
Algunas imágenes de \(f\) son

Es fácil ver que está función es estrictamente creciente y, por tanto, su límite cuando \(x\) tiende a \(+\infty\) es \(+\infty\).
Gráfica:

Cuando \(x\) tiende a \(-\infty\), el límite la función es \(0\):

Consideremos la función \(f(x) = 2^x\) y que \(x\) es negativa. Podemos escribir sus imágenes como fracciones. Por ejemplo,

Es fácil ver que la función se aproxima a \(0\) a medida que \(x\) toma valores más negativos.
Recordad que las potencias de un número \(a\) entre \(0\) y \(1\) son menores que \(a\). Además, el resultado decrece si el exponente aumenta.
Algunas potencias de \(0.5\) son

Cuando el exponente aumenta una unidad, el resultado disminuye, aproximándose cada vez más a \(0\).
Por tanto, el límite de la función \(f(x) = a^x\), siendo \(0< a <1\) es

Si razonamos como hicimos en el ejemplo \(2\), el otro límite es

Las funciones \(f(x) = 0^x\) y \(g(x) = 1^x\) son constantes y, por tanto, los límites de \(f\) son iguales a \(0\) y los de \(g\) son iguales a \(1\).
No confundáis los límites de estas funciones con las indeterminaciones \(0\) y \(1\) elevados a infinito.
Calcular los siguientes límites de exponenciales:

El primer y el segundo límite son iguales a infinito porque la base de la exponencial es mayor que \(1\):

El tercer límite es infinito porque, aunque la base sea menor que \(1\), \(x\) tiende a infinito negativo:

El cuarto y quinto límite son iguales a \(0\) porque el exponente es negativo y podemos ver las exponenciales como exponenciales cuya base es una fracción menor que \(1\):

Del mismo modo,

El sexto límite también es \(0\):

Calcular los siguientes límites:

Aplicando las propiedades de las potencias,

El límite es \(0\) porque la base es menor que \(1\).

El límite es infinito porque la base es menor que \(1\) pero \(x\) tiende a infinito negativo.
El cociente de exponenciales es una función que suele aparecer con frecuencia.
Teniendo en cuenta lo visto anteriormente,

Tenemos, en principio, una indeterminación (cociente de infinitos). Sin embargo, como la función del denominador crece más rápido que la del numerador, el límite es \(0\).
Nota: este razonamiento es el mismo que aplicamos cuando tenemos un cociente de polinomios y el grado del polinomio del denominador es mayor.
Gráfica:

Normalmente, lo que hacemos cuando tenemos un cociente de exponenciales es dividir numerador y denominador por la exponencial de base mayor.
Dividimos entre \(5^x\) en el límite anterior:

Observad que las bases \(2/5\) y \(1/5\) son menores que \(1\) y, por tanto, tienden a \(0\).

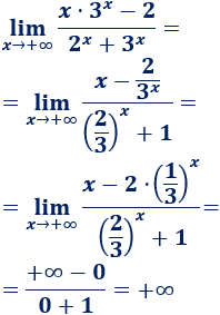
En este límite, dividimos entre \(3^x\):

Gráfica:


Tenemos tres exponenciales con distinta base, así que dividimos entre aquella cuya base es mayor, es decir, \(5^x\):

Gráfica:


En este límite, dividimos entre \(3^x\):

Gráfica:

Más problemas similares: