Explicamos paso a paso cómo dividir polinomios, con ejemplos y ejercicios resueltos.
Índice:
Para dividir el polinomio \(P(x)\) entre el polinomio \(Q(x)\), necesitamos que el grado de \(P(x)\) sea mayor o igual que el grado de \(Q(x)\).
El polinomio \(P(x)\) es el dividendo y \(Q(x)\) es el divisor.
Escribimos el dividiendo y el divisor como en una división de números:

El polinomio \(R(x)\) es el resto y \(C(x)\) es el cociente.
El grado de \(R(x)\) es menor que el de \(Q(x)\) y el grado de \(C(x)\) es el grado de \(P(x)\) menos el de \(Q(x)\).
Recordad que el monomio principal (o término principal) de un polinomio es el monomio de mayor grado. Su coeficiente es el coeficiente principal.
Para comprobar el resultado podemos comprobar que se cumpla la igualdad

Vamos a dividir el polinomio \(x^4+x+1\) entre \(x^2+1\).
Escribimos los polinomios:

Siempre escribiremos los monomios de los polinomios ordenados de grado mayor a menor.
Tenemos que escribir en el cociente un monomio tal que al multiplicar por el monomio principal del divisor, se obtenga el monomio director del dividendo.
Como \(x^2\cdot x^2 = x^4\), escribimos \(x^2\) en el cociente:

Multiplicamos el monomio por el divisor y escribimos el resultado bajo el dividendo:

Restamos el resultado al dividendo:

Observad que ha desaparecido el monomio principal del dividendo.
No olvidéis cambiar todos los signos al hacer la resta.
Como el grado del resto es igual al del divisor, tenemos que seguir.
Repetimos el proceso.
El siguiente monomio para el cociente es \(-1\) porque así obtenemos el monomio \(-x^2\) al multiplicar por el divisor:

Restamos los polinomios:

Como el grado del resto es menor que el del divisor, hemos terminado la división.
El cociente es \(x^2-1\) y el resto es \(x+2\).
Vamos a dividir el polinomio \(4x^2-8x-2\) entre \(2x-1\).
Escribimos los polinomios:

Escribimos \(2x\) en el cociente porque, así, \(2x·2x = 4x^2\). Multiplicamos el monomio \(2x\) por el divisor y restamos el resultado al dividendo:

El siguiente monomio del cociente es \(-3\):

Como el grado del resto es menor que el del divisor, hemos terminado. El cociente es \(2x-3\) y el resto es \(-5\).
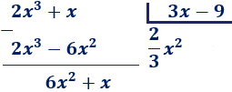
Vamos a dividir el polinomio \(2x^3+x\) entre \( 3x-9\).
Escribimos los polinomios:

Para obtener el monomio \(2x^3\), tenemos que multiplicar el divisor por el monomio \(2x^2/3\):

El siguiente monomio es \(2x\):

Como el grado del resto es igual al del divisor, debemos continuar:

Como el grado del resto es menor que el del divisor, hemos terminado.

Dividimos los polinomios:

Cociente:

Resto:

Por tanto, podemos escribir
$$ x^3 - 2x^2 + 1 = (x-1)(x^2-x-1)$$
Y también,
$$ \frac{x^3 - 2x^2 + 1}{x-1} = x^2-x-1$$

Dividimos los polinomios:

Cociente:

Resto:

Por tanto, podemos escribir
$$ 2x^2 + 4x + 2 = (2x + 1)(x + 3/2) + 1/2$$
Y también,
$$ \frac{2x^2 + 4x + 2}{2x + 1} = x + \frac{3}{2} + \frac{1}{4x+2}$$

Dividimos los polinomios:

Cociente:

Resto:

Por tanto, podemos escribir
$$ 3x^4 + 6x^2 + 3 = (3x^2 + 1)(x^2 + 5/3) + 4/3$$
Y también,
$$ \frac{3x^4 + 6x^2 + 3}{3x^2 + 1} = x^2 + \frac{5}{3} + \frac{4}{9x^2 + 3}$$

Dividimos los polinomios:

Cociente:

Resto:

Por tanto, podemos escribir
$$ 2x^3 - 3x - 1 = 2x(x^2 - 1) -x-1$$
Y también,
$$ \frac{2x^3 - 3x - 1}{x^2 - 1} = 2x - \frac{x+1}{x^2 - 1}$$

Dividimos los polinomios:

Cociente:

Resto:

Por tanto, podemos escribir
$$ 3x^3 - 6x - 2 = (2x - 3)(3x^2/2 + 9x/4 + 3/8) - 7/8$$
Y también,
$$ \frac{3x^3 - 6x - 2}{2x - 3} = \frac{3x^2}{2} + \frac{9x}{4} + \frac{3}{8}-\frac{7}{16x - 24}$$