Proporcionamos 8 calculadoras para calcular la cantidad de litros de una pecera según su forma. Hay que tener en cuenta que la decoración y sustrato suelen ocupar un \(25\%\) o más del volumen.
Los datos a introducir deben ser en centímetros (\(\text{cm}\)). Si medimos desde el interior, el resultado será más preciso (por el grosor de los cristales).
El procedimiento es sencillo: sólo tenemos que calcular el volumen de la pecera y escribir el resultado en decímetros cúbicos, ya que \(1\text{ L}\) equivale a \(1 \text{ dm}^3\).
Importante: como las peceras no son figuras geométricas exactas, los resultados de las calculadoras son aproximaciones. Los resultados se aproximan con 2 decimales.
Índice:

\(h =\) \(\text{ cm}\)
\(b =\) \(\text{ cm}\)
\(p =\) \(\text{ cm}\)
Fórmula utilizada:


\(L =\) \(\text{ cm}\)
Fórmula utilizada:


\(h =\) \(\text{ cm}\)
\(d =\) \(\text{ cm}\)
Fórmula utilizada:


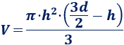
\(h =\) \(\text{ cm}\)
\(d =\) \(\text{ cm}\)
Fórmula utilizada:

El resultado es la mitad del volumen de un cilindro con diámetro \(d\) y altura \(h\).

\(h =\) \(\text{ cm}\)
\(R =\) \(\text{ cm}\)
Fórmula utilizada:

Hemos supuesto que pecera es un cuarto de cilindro circular. Es decir, el lado \(R\) de la pecera coincide con el radio del lado circular.

\(h =\) \(\text{ cm}\)
\(b =\) \(\text{ cm}\)
\(p =\) \(\text{ cm}\)
Fórmula utilizada:

En estas peceras es más difícil calcular el volumen puesto que tenemos que deducir la medida del radio de la parte circular. En esta calculadora usamos la mitad de la base de la pecera como radio.

\(h =\) \(\text{ cm}\)
\(L_1 =\) \(\text{ cm}\)
\(L_2 =\) \(\text{ cm}\)
Fórmula utilizada:


\(d =\) \(\text{ cm}\)
\(h =\) \(\text{ cm}\)
Fórmula utilizada:

Hay que tener en cuenta que la pecera no es completamente esférica, sino que es un casquete esférico. Además de esto, habría que restar el volumen de un pequeño casquete inferior, puesto que la base suele ser plana para que la pecera se apoye.