Explicamos qué es y cómo extraer/sacar factor común, con ejemplos y problemas resueltos.
Índice:
Sacar factor común consiste en hallar un factor común en todos los sumandos para escribir una suma como el producto de dicho factor común por otra suma.

En la suma \(m·a+m·b\), el factor común es \(m\).
Las dos expresiones anteriores son iguales por la propiedad distributiva del producto respecto de la suma.
Podemos hacer lo mismo con una resta:

También, podemos extraer varios factores:

Sacar factor común es un procedimiento importante para simplificar las operaciones.

Podemos escribir ambos números como productos:

Ambos sumandos tienen el factor común \(3\), así que podemos extraerlo:


Extraemos el factor común \(b\):

En adelante, no escribimos todos los puntos de la multiplicación, por abreviar.

Extraemos el factor común \(2bc\):

¡No hay que olvidar el \(1\)! Observad que así, si desarrollamos el producto, obtenemos la expresión inicial:


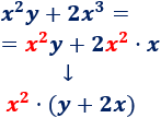
Extraemos el factor común \(x^2\):

Hemos escrito \(x^3\) como \(x^2·x\) para ver claramente que \(x^2\) es un factor común.
Extraer factor común en las siguientes sumas:

Escribimos los sumandos como productos y buscamos los factores comunes.
Primera suma

Segunda suma

Tercera suma

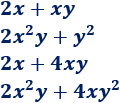
Extraer factor común en los siguientes polinomios:

Primer polinomio
Extraemos el factor común \(x\):

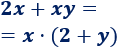
Segundo polinomio
Extraemos el factor común \(y\):

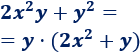
Tercer polinomio
Extraemos el factor común \(2x\):

Cuarto polinomio
Extraemos el factor común \(2xy\):

Más problemas similares: sacar factor común.