Operaciones entre números complejos

En esta página vamos a explicar cómo sumar, restar, multiplicar y dividir números complejos.

Índice de contenidos:

  1. Sumar y restar en forma binómica
  2. Multiplicar y dividir en forma binómica
  3. Multiplicar y dividir en forma polar

Otros temas de números complejos:

1. Sumar y restar en forma binómica

Sean \(z\) y \(w\) dos complejos dados en su forma binómica:

Explicamos y damos las fórmulas para sumar, restar, multiplicar y dividir números complejos o imaginarios en su forma binómica y en su forma polar. Incluye ejemplos y enlaces de interés. Matemáticas. Números complejos. Secundaria. Bachillerato. Universidad.

La suma de los complejos \(z\) y \(w\) es un número complejo cuya parte real es la suma de las partes reales y cuya parte imaginaria es la suma de las partes imaginarias:

Explicamos y damos las fórmulas para sumar, restar, multiplicar y dividir números complejos o imaginarios en su forma binómica y en su forma polar. Incluye ejemplos y enlaces de interés. Matemáticas. Números complejos. Secundaria. Bachillerato. Universidad.

La resta es análoga, pero restando:

Explicamos y damos las fórmulas para sumar, restar, multiplicar y dividir números complejos o imaginarios en su forma binómica y en su forma polar. Incluye ejemplos y enlaces de interés. Matemáticas. Números complejos. Secundaria. Bachillerato. Universidad.

Problema 1

Sumar y restar los siguientes números complejos:

Explicamos y damos las fórmulas para sumar, restar, multiplicar y dividir números complejos o imaginarios en su forma binómica y en su forma polar. Incluye ejemplos y enlaces de interés. Matemáticas. Números complejos. Secundaria. Bachillerato. Universidad.

Solución:

Calculamos la suma \(z+w\):

Explicamos y damos las fórmulas para sumar, restar, multiplicar y dividir números complejos o imaginarios en su forma binómica y en su forma polar. Incluye ejemplos y enlaces de interés. Matemáticas. Números complejos. Secundaria. Bachillerato. Universidad.

Calculamos la resta \(z-w\):

Explicamos y damos las fórmulas para sumar, restar, multiplicar y dividir números complejos o imaginarios en su forma binómica y en su forma polar. Incluye ejemplos y enlaces de interés. Matemáticas. Números complejos. Secundaria. Bachillerato. Universidad.

2. Multiplicar y dividir en forma binómica

Sean \(z\) y \(w\) dos complejos dados en su forma binómica:

Explicamos y damos las fórmulas para sumar, restar, multiplicar y dividir números complejos o imaginarios en su forma binómica y en su forma polar. Incluye ejemplos y enlaces de interés. Matemáticas. Números complejos. Secundaria. Bachillerato. Universidad.

Producto:

La multiplicación de los complejos \(z\) y \(w\) se define como

Explicamos y damos las fórmulas para sumar, restar, multiplicar y dividir números complejos o imaginarios en su forma binómica y en su forma polar. Incluye ejemplos y enlaces de interés. Matemáticas. Números complejos. Secundaria. Bachillerato. Universidad.

Nota: para obtener la fórmula, podéis calcular el producto como si fuera un producto de binomios, teniendo en cuenta que \(i^2=-1\).

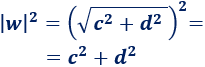
Inverso:

El inverso multiplicativo del complejo \(w=c+di\) se define como

Explicamos y damos las fórmulas para sumar, restar, multiplicar y dividir números complejos o imaginarios en su forma binómica y en su forma polar. Incluye ejemplos y enlaces de interés. Matemáticas. Números complejos. Secundaria. Bachillerato. Universidad.

siendo \(|w|^2\) el cuadrado del módulo de \(w\):

Explicamos y damos las fórmulas para sumar, restar, multiplicar y dividir números complejos o imaginarios en su forma binómica y en su forma polar. Incluye ejemplos y enlaces de interés. Matemáticas. Números complejos. Secundaria. Bachillerato. Universidad.

Cociente:

La división de los complejos \(z\) y \(w\) se define como

Explicamos y damos las fórmulas para sumar, restar, multiplicar y dividir números complejos o imaginarios en su forma binómica y en su forma polar. Incluye ejemplos y enlaces de interés. Matemáticas. Números complejos. Secundaria. Bachillerato. Universidad.

Nota: para obtener la fórmula, podéis calcular el producto de \(z\) por el inverso multiplicativo de \(w\).


Problema 2

Calcular el inverso multiplicativo de los siguientes complejos:

Explicamos y damos las fórmulas para sumar, restar, multiplicar y dividir números complejos o imaginarios en su forma binómica y en su forma polar. Incluye ejemplos y enlaces de interés. Matemáticas. Números complejos. Secundaria. Bachillerato. Universidad.

Solución:

Calculamos el módulo de \(z\) y el de \(w\):

Explicamos y damos las fórmulas para sumar, restar, multiplicar y dividir números complejos o imaginarios en su forma binómica y en su forma polar. Incluye ejemplos y enlaces de interés. Matemáticas. Números complejos. Secundaria. Bachillerato. Universidad.

Calculamos el inverso de \(z\):

Explicamos y damos las fórmulas para sumar, restar, multiplicar y dividir números complejos o imaginarios en su forma binómica y en su forma polar. Incluye ejemplos y enlaces de interés. Matemáticas. Números complejos. Secundaria. Bachillerato. Universidad.

Calculamos el inverso de \(w\):

Explicamos y damos las fórmulas para sumar, restar, multiplicar y dividir números complejos o imaginarios en su forma binómica y en su forma polar. Incluye ejemplos y enlaces de interés. Matemáticas. Números complejos. Secundaria. Bachillerato. Universidad.


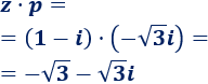
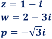
Problema 3

Multiplicar y dividir los complejos \(z\) y \(w\) y los complejos \(z\) y \(p\):

Explicamos y damos las fórmulas para sumar, restar, multiplicar y dividir números complejos o imaginarios en su forma binómica y en su forma polar. Incluye ejemplos y enlaces de interés. Matemáticas. Números complejos. Secundaria. Bachillerato. Universidad.

Solución:

Multiplicamos los complejos \(z\) y \(w\):

Explicamos y damos las fórmulas para sumar, restar, multiplicar y dividir números complejos o imaginarios en su forma binómica y en su forma polar. Incluye ejemplos y enlaces de interés. Matemáticas. Números complejos. Secundaria. Bachillerato. Universidad.

Dividimos los complejos \(z\) y \(w\):

Explicamos y damos las fórmulas para sumar, restar, multiplicar y dividir números complejos o imaginarios en su forma binómica y en su forma polar. Incluye ejemplos y enlaces de interés. Matemáticas. Números complejos. Secundaria. Bachillerato. Universidad.

Multiplicamos los complejos \(z\) y \(p\):

Explicamos y damos las fórmulas para sumar, restar, multiplicar y dividir números complejos o imaginarios en su forma binómica y en su forma polar. Incluye ejemplos y enlaces de interés. Matemáticas. Números complejos. Secundaria. Bachillerato. Universidad.

Dividimos los complejos \(z\) y \(p\):

Explicamos y damos las fórmulas para sumar, restar, multiplicar y dividir números complejos o imaginarios en su forma binómica y en su forma polar. Incluye ejemplos y enlaces de interés. Matemáticas. Números complejos. Secundaria. Bachillerato. Universidad.

3. Multiplicar y dividir en forma polar


Sean los números complejos \(z\) y \(w\) dados en su forma polar:

Explicamos y damos las fórmulas para sumar, restar, multiplicar y dividir números complejos o imaginarios en su forma binómica y en su forma polar. Incluye ejemplos y enlaces de interés. Matemáticas. Números complejos. Secundaria. Bachillerato. Universidad.

donde \(|z|\) y \(\alpha\) son el módulo y el argumento de \(z\) y \(|w|\) y \(\beta\) son los de \(w\).

Entonces,

Dicho en fórmulas,

Explicamos y damos las fórmulas para sumar, restar, multiplicar y dividir números complejos o imaginarios en su forma binómica y en su forma polar. Incluye ejemplos y enlaces de interés. Matemáticas. Números complejos. Secundaria. Bachillerato. Universidad.

Si utilizamos la notación de Euler:

Explicamos y damos las fórmulas para sumar, restar, multiplicar y dividir números complejos o imaginarios en su forma binómica y en su forma polar. Incluye ejemplos y enlaces de interés. Matemáticas. Números complejos. Secundaria. Bachillerato. Universidad.

Entonces,

Explicamos y damos las fórmulas para sumar, restar, multiplicar y dividir números complejos o imaginarios en su forma binómica y en su forma polar. Incluye ejemplos y enlaces de interés. Matemáticas. Números complejos. Secundaria. Bachillerato. Universidad.

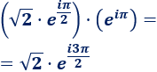
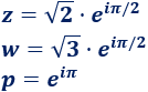
Problema 4

Multiplicar y dividir los complejos \(z\) y \(w\) y los complejos \(z\) y \(p\):

Explicamos y damos las fórmulas para sumar, restar, multiplicar y dividir números complejos o imaginarios en su forma binómica y en su forma polar. Incluye ejemplos y enlaces de interés. Matemáticas. Números complejos. Secundaria. Bachillerato. Universidad.

Solución:

Calculamos el producto \(z·w\):

Explicamos y damos las fórmulas para sumar, restar, multiplicar y dividir números complejos o imaginarios en su forma binómica y en su forma polar. Incluye ejemplos y enlaces de interés. Matemáticas. Números complejos. Secundaria. Bachillerato. Universidad.

Calculamos el cociente \(z/w\):

Explicamos y damos las fórmulas para sumar, restar, multiplicar y dividir números complejos o imaginarios en su forma binómica y en su forma polar. Incluye ejemplos y enlaces de interés. Matemáticas. Números complejos. Secundaria. Bachillerato. Universidad.

Calculamos el producto \(z·p\):

Explicamos y damos las fórmulas para sumar, restar, multiplicar y dividir números complejos o imaginarios en su forma binómica y en su forma polar. Incluye ejemplos y enlaces de interés. Matemáticas. Números complejos. Secundaria. Bachillerato. Universidad.

Calculamos el cociente \(z/p\):

Explicamos y damos las fórmulas para sumar, restar, multiplicar y dividir números complejos o imaginarios en su forma binómica y en su forma polar. Incluye ejemplos y enlaces de interés. Matemáticas. Números complejos. Secundaria. Bachillerato. Universidad.


Más información y problemas resueltos de números complejos:



Problemas y Ecuaciones ©