Integración por sustitución o cambio de variable

En esta página explicamos el método de integración por sustitución o cambio de variable a través de 4 ejemplos.

Como es de suponer por su nombre, el método de sustitución consiste en aplicar un cambio de variable para transformar el integrando en una función más simple de integrar.

Notación: escribiremos la función logaritmo natural (logaritmo en base \(e\)) como \(ln⁡(·)\).


El método

Explicaremos el método mediante ejemplos, pero el esquema es el siguiente (si resulta demasiado técnico, podéis dejarlo pasar).

Dada la integral indefinida

$$\int{ f(x) dx }$$

1. Definimos un cambio de variable \(s = h(x)\).

2. Calculamos la inversa del cambio de variable, es decir, \( x = h^{-1}(s)\), y la derivamos:

$$ dx = \frac{1}{h'(s)} ds $$

3. Aplicamos el cambio en la integral:

$$ \int{ f(x) dx } = $$

$$ = \int{ f(h^{-1}(s))\cdot \frac{1}{h'(s)} ds }$$

4. Resolvemos la integral obtenida.

5. Para terminar, deshacemos el cambio de variable (escribimos la primitiva en función de \(x\) en lugar de \(s\)).

Como se observa en los ejemplos que veremos, la elección del cambio de variable es la clave para que el método funcione. En la siguiente tabla se recogen los cambios que habitualmente suelen funcionar:

Tabla con cambios útiles

Método de integración por sustitución o cambio de variable explicado con ejemplos. Integrales resueltas por cambio de variable. Incluye tabla con los cambios que suelen funcionar. Análisis de una variable real.

Integrales resueltas

Nota previa: algunas de las integrales que resolvemos son directas o se pueden resolver mediante otros métodos.

Integral 1

Integral con raíz cuadrada.

Método de integración por sustitución o cambio de variable explicado con ejemplos. Integrales resueltas por cambio de variable. Incluye tabla con los cambios que suelen funcionar. Análisis de una variable real.

Solución:

Aplicaremos el cambio de variable

Método de integración por sustitución o cambio de variable explicado con ejemplos. Integrales resueltas por cambio de variable. Incluye tabla con los cambios que suelen funcionar. Análisis de una variable real.

Escogemos este cambio porque así, al sustituir en la integral, la raíz cuadrada desaparece.

Calculamos la inversa del cambio de variable y derivamos:

Método de integración por sustitución o cambio de variable explicado con ejemplos. Integrales resueltas por cambio de variable. Incluye tabla con los cambios que suelen funcionar. Análisis de una variable real.

Sustituimos en la integral (cambiamos \(x\) por \(s^2-1\) y \(dx\) por \(2sds\)):

Método de integración por sustitución o cambio de variable explicado con ejemplos. Integrales resueltas por cambio de variable. Incluye tabla con los cambios que suelen funcionar. Análisis de una variable real.

Operamos en el integrando para simplificarlo:

Método de integración por sustitución o cambio de variable explicado con ejemplos. Integrales resueltas por cambio de variable. Incluye tabla con los cambios que suelen funcionar. Análisis de una variable real.

Resolvemos la integral:

Método de integración por sustitución o cambio de variable explicado con ejemplos. Integrales resueltas por cambio de variable. Incluye tabla con los cambios que suelen funcionar. Análisis de una variable real.

Simplificamos un poco el resultado:

Método de integración por sustitución o cambio de variable explicado con ejemplos. Integrales resueltas por cambio de variable. Incluye tabla con los cambios que suelen funcionar. Análisis de una variable real.

Deshacemos el cambio de variable:

Como \(s = \sqrt{x+1}\),

Método de integración por sustitución o cambio de variable explicado con ejemplos. Integrales resueltas por cambio de variable. Incluye tabla con los cambios que suelen funcionar. Análisis de una variable real.

Por tanto,

Método de integración por sustitución o cambio de variable explicado con ejemplos. Integrales resueltas por cambio de variable. Incluye tabla con los cambios que suelen funcionar. Análisis de una variable real.

Nota final: normalmente, para eliminar una raíz cuadrada elegimos el cambio \(s =\) (radicando)\(^2\).



Integral 2

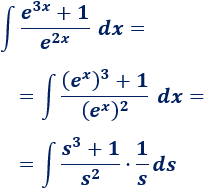
Integral con exponenciales.

Método de integración por sustitución o cambio de variable explicado con ejemplos. Integrales resueltas por cambio de variable. Incluye tabla con los cambios que suelen funcionar. Análisis de una variable real.

Solución:

Como se indica en la tabla, cuando tenemos exponenciales aplicamos el cambio \(s = e^x\).

Despejamos \(x\) y derivamos:

Método de integración por sustitución o cambio de variable explicado con ejemplos. Integrales resueltas por cambio de variable. Incluye tabla con los cambios que suelen funcionar. Análisis de una variable real.

Aplicamos el cambio de variable (escribiendo directamente \(s\) en lugar de \(e^x\) y \(1/s ds\) en lugar de \(dx\)):

Método de integración por sustitución o cambio de variable explicado con ejemplos. Integrales resueltas por cambio de variable. Incluye tabla con los cambios que suelen funcionar. Análisis de una variable real.

Simplificamos y resolvemos la integral:

Método de integración por sustitución o cambio de variable explicado con ejemplos. Integrales resueltas por cambio de variable. Incluye tabla con los cambios que suelen funcionar. Análisis de una variable real.

Las dos integrales que tenemos son, más o menos, directas:

Método de integración por sustitución o cambio de variable explicado con ejemplos. Integrales resueltas por cambio de variable. Incluye tabla con los cambios que suelen funcionar. Análisis de una variable real.

Por tanto, tenemos

Método de integración por sustitución o cambio de variable explicado con ejemplos. Integrales resueltas por cambio de variable. Incluye tabla con los cambios que suelen funcionar. Análisis de una variable real.

Deshacemos el cambio de variable:

Método de integración por sustitución o cambio de variable explicado con ejemplos. Integrales resueltas por cambio de variable. Incluye tabla con los cambios que suelen funcionar. Análisis de una variable real.

Con lo que la integral inicial es

Método de integración por sustitución o cambio de variable explicado con ejemplos. Integrales resueltas por cambio de variable. Incluye tabla con los cambios que suelen funcionar. Análisis de una variable real.



Integral 3

Integral con funciones trigonométricas.

Método de integración por sustitución o cambio de variable explicado con ejemplos. Integrales resueltas por cambio de variable. Incluye tabla con los cambios que suelen funcionar. Análisis de una variable real.

Solución:

Tanto el exponente del seno como el del coseno son impares, así que, según la tabla, podemos aplicar el cambio \( s = cos(x)\) o el cambio \( s = sin(x)\).

Nos decidimos por el primero: \( s = cos(x)\).

Despejamos \(x\) y derivamos:

Método de integración por sustitución o cambio de variable explicado con ejemplos. Integrales resueltas por cambio de variable. Incluye tabla con los cambios que suelen funcionar. Análisis de una variable real.

Calculamos el cubo del seno en la nueva variable:

Método de integración por sustitución o cambio de variable explicado con ejemplos. Integrales resueltas por cambio de variable. Incluye tabla con los cambios que suelen funcionar. Análisis de una variable real.

Aplicamos el cambio de variable:

Método de integración por sustitución o cambio de variable explicado con ejemplos. Integrales resueltas por cambio de variable. Incluye tabla con los cambios que suelen funcionar. Análisis de una variable real.

Simplificamos (las raíces van a desaparecer):

Método de integración por sustitución o cambio de variable explicado con ejemplos. Integrales resueltas por cambio de variable. Incluye tabla con los cambios que suelen funcionar. Análisis de una variable real.

Calculamos la integral obtenida:

Método de integración por sustitución o cambio de variable explicado con ejemplos. Integrales resueltas por cambio de variable. Incluye tabla con los cambios que suelen funcionar. Análisis de una variable real.

Deshacemos el cambio de variable:

Método de integración por sustitución o cambio de variable explicado con ejemplos. Integrales resueltas por cambio de variable. Incluye tabla con los cambios que suelen funcionar. Análisis de una variable real.

Por tanto,

Método de integración por sustitución o cambio de variable explicado con ejemplos. Integrales resueltas por cambio de variable. Incluye tabla con los cambios que suelen funcionar. Análisis de una variable real.



Para simplificar el resultado de la siguiente integral, utilizaremos

Método de integración por sustitución o cambio de variable explicado con ejemplos. Integrales resueltas por cambio de variable. Incluye tabla con los cambios que suelen funcionar. Análisis de una variable real.



Integral 4

Integral con la raíz \( \sqrt{a^2-b^2x^2}\).

Método de integración por sustitución o cambio de variable explicado con ejemplos. Integrales resueltas por cambio de variable. Incluye tabla con los cambios que suelen funcionar. Análisis de una variable real.

Nota: la resolución de la integral es sencilla, pero bastante larga.

Solución:

Teniendo en cuenta la tabla, aplicamos el cambio

Método de integración por sustitución o cambio de variable explicado con ejemplos. Integrales resueltas por cambio de variable. Incluye tabla con los cambios que suelen funcionar. Análisis de una variable real.

Nota: en los otros casos, la tabla nos proporciona la nueva variable \(s\) en función de \(x\). En este caso, es la inversa.

Derivamos:

Método de integración por sustitución o cambio de variable explicado con ejemplos. Integrales resueltas por cambio de variable. Incluye tabla con los cambios que suelen funcionar. Análisis de una variable real.

Calculamos \(s\):

Método de integración por sustitución o cambio de variable explicado con ejemplos. Integrales resueltas por cambio de variable. Incluye tabla con los cambios que suelen funcionar. Análisis de una variable real.

Sustituimos en la integral:

Método de integración por sustitución o cambio de variable explicado con ejemplos. Integrales resueltas por cambio de variable. Incluye tabla con los cambios que suelen funcionar. Análisis de una variable real.

Simplificamos el integrando y resolvemos la integral:

Método de integración por sustitución o cambio de variable explicado con ejemplos. Integrales resueltas por cambio de variable. Incluye tabla con los cambios que suelen funcionar. Análisis de una variable real.

Finalmente, deshacemos el cambio de variable:

Método de integración por sustitución o cambio de variable explicado con ejemplos. Integrales resueltas por cambio de variable. Incluye tabla con los cambios que suelen funcionar. Análisis de una variable real.

Por tanto,

Método de integración por sustitución o cambio de variable explicado con ejemplos. Integrales resueltas por cambio de variable. Incluye tabla con los cambios que suelen funcionar. Análisis de una variable real.

Nota: utilizando fórmulas, el resultado puede simplicarse bastante, pero omitimos este cálculo por su irrelevancia en el método de integración.


Más integrales por sustitución: 10 integrales resueltas por cambio de variable.




Problemas y Ecuaciones ©