Integración por partes

En esta página explicamos el método de integración por partes paso a paso. Calcularemos 11 integrales mediante este método para ver el procedimiento. Este método se basa en la aplicación de la siguiente fórmula:

$$ \int{u\ dv } = u\cdot v -\int{v\ du}$$

donde

El método se aplica, sobre todo, cuando el integrando es un producto de funciones.

Notación: escribiremos la función logaritmo natural (logaritmo en base \(e\) como \(ln⁡(x)\).

Ejemplo

Calculamos la integral

Método de integración por partes explicado e integrales resueltas. Análisis de una variable.

El integrando es un producto de dos funciones.

1. Identificamos \(u\) y \(dv\)

Es importante pensar la elección de \(u\) y \(dv\) porque luego tenemos que derivar \(u\) e integrar \(dv\). Además, tenemos que calcular la integral de la fórmula.

Si escogemos \(u=x\), entonces su derivada es \(du=dx\). Pero, entonces, tenemos que escoger \(dv=ln(x)dx\) y para calcular \(v\) tenemos que integrar el logaritmo.

Por tanto, escogemos la otra opción:

Método de integración por partes explicado e integrales resueltas. Análisis de una variable.

2. Calculamos \(du\) y \(v\)

Para calcular \(du\) tenemos que derivar \(u\):

Método de integración por partes explicado e integrales resueltas. Análisis de una variable.

Para calcular \(v\) tenemos que integrar \(dv\):

Método de integración por partes explicado e integrales resueltas. Análisis de una variable.

3. Aplicamos la fórmula

Sólo tenemos que sustituir las variables de la fórmula:

Método de integración por partes explicado e integrales resueltas. Análisis de una variable.

4. Calculamos la integral que queda

La integral que queda es inmediata:

Método de integración por partes explicado e integrales resueltas. Análisis de una variable.

Por tanto,

Método de integración por partes explicado e integrales resueltas. Análisis de una variable.

No olvidéis la constante de integración \(K\).


Más integrales resueltas

No es necesario tener un producto en el integrando para aplicar integración por partes. La siguiente integral es un ejemplo de ello.

Integral 1

Método de integración por partes explicado e integrales resueltas. Análisis de una variable.

Solución:

Antes que nada, aprovechamos las propiedades de los logaritmos para simplificar el integrando:

Método de integración por partes explicado e integrales resueltas. Análisis de una variable.

Vamos a calcular la integral del logaritmo natural (luego ya multilicaremos por 2).

Podemos escribir el integrando como un producto para ver claramente la aplicación de la fórmula:

Método de integración por partes explicado e integrales resueltas. Análisis de una variable.

1. Identificamos \(u\) y \(dv\)

Obviamente, no debemos escoger \(dv=ln(x)dx\) ya que entonces, tendríamos que calcular la integral del logaritmo, que es precisamente lo que estamos haciendo. Por tanto,

Método de integración por partes explicado e integrales resueltas. Análisis de una variable.

2. Calculamos \(du\) y \(v\)

Derivamos e integramos:

Método de integración por partes explicado e integrales resueltas. Análisis de una variable.

3. Aplicamos la fórmula

Sustituimos en la fórmula:

Método de integración por partes explicado e integrales resueltas. Análisis de una variable.

Por tanto, la integral del problema es

Método de integración por partes explicado e integrales resueltas. Análisis de una variable.


En algunas integrales tendremos que aplicar el método varias veces. En estos casos, es importante mantener la elección de los factores \(u\) y \(dv\). La siguiente integral es un ejemplo de ello.

Integral 2

Método de integración por partes explicado e integrales resueltas. Análisis de una variable.

Solución:

El integrando es un producto de dos funciones.

1. Identificamos \(u\) y \(dv\)

No importa si \(e^x\) es \(u\) ó \(dv\) porque tanto su derivada como su integral es \(e^x\).

Si escogemos \(dv=x^2\), tendremos que calcular la integral

Método de integración por partes explicado e integrales resueltas. Análisis de una variable.

Así que es mejor escoger \(u=x^2\) para bajar el grado del monomio.

2. Calculamos \(du\) y \(v\)

Método de integración por partes explicado e integrales resueltas. Análisis de una variable.

3. Aplicamos la fórmula

Método de integración por partes explicado e integrales resueltas. Análisis de una variable.

Aplicamos de nuevo integración por partes para calcular la integral que nos queda. Para no deshacer los cálculos anteriores, mantenemos la elección de \(u\) y \(dv\):

Método de integración por partes explicado e integrales resueltas. Análisis de una variable.

Por tanto,

Método de integración por partes explicado e integrales resueltas. Análisis de una variable.

Volviendo al comienzo,

Método de integración por partes explicado e integrales resueltas. Análisis de una variable.



Integral 3

Método de integración por partes explicado e integrales resueltas. Análisis de una variable.

Solución:

1. Identificamos \(u\) y \(dv\)

No importa si \(cos⁡(x)\) es \(dv\) ó \(u\) porque tanto su integral como su derivada son \( \pm sin⁡(x)\).

Escogemos \(u=x^2\) para rebajar su grado.

2. Calculamos \(du\) y \(v\)

Método de integración por partes explicado e integrales resueltas. Análisis de una variable.

3. Aplicamos la fórmula

Método de integración por partes explicado e integrales resueltas. Análisis de una variable.

Aplicamos de nuevo integración por partes para calcular la integral que nos falta. Como dijimos en el problema anterior, debemos mantener la elección de los factores \(u\) y \(dv\):

Método de integración por partes explicado e integrales resueltas. Análisis de una variable.

Aplicamos la fórmula:

Método de integración por partes explicado e integrales resueltas. Análisis de una variable.

Por tanto,

Método de integración por partes explicado e integrales resueltas. Análisis de una variable.


Elegimos un método de integración u otro según nuestra intuición. La siguiente integral la resolvemos por el método de integración por partes, pero la podemos resolver también fácilmente por el método de sustitución (con el cambio \(s^2=x+1\)).


Integral 4

Método de integración por partes explicado e integrales resueltas. Análisis de una variable.

Solución:

1. Identificamos \(u\) y \(dv\)

Como en los problemas anteriores, escogemos \(u=x\) para rebajar su grado.

2. Calculamos \(du\) y \(v\)

Vamos a escribir la raíz como una potencia:

Método de integración por partes explicado e integrales resueltas. Análisis de una variable.

La derivada de \(u\) es inmediata:

Método de integración por partes explicado e integrales resueltas. Análisis de una variable.

Calculamos \(v\) integrando \(dv\):

Método de integración por partes explicado e integrales resueltas. Análisis de una variable.

Por si lo necesitáis, vamos a escribir el cálculo de \(v\):

Método de integración por partes explicado e integrales resueltas. Análisis de una variable.

3. Aplicamos la fórmula

Método de integración por partes explicado e integrales resueltas. Análisis de una variable.

Si operamos un poco, el resultado final queda como

Método de integración por partes explicado e integrales resueltas. Análisis de una variable.


Hasta ahora, hemos hablado siempre de productos. Sin embargo, el método podemos utilizarlo para cocientes. Un ejemplo de ello es la siguiente integral.

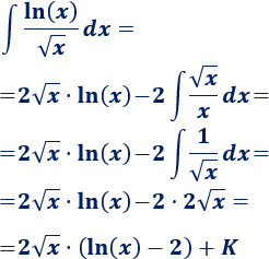
Integral 5

Método de integración por partes explicado e integrales resueltas. Análisis de una variable.

Solución:

Para aplicar el método cuando el integrando es un cociente, sólo hay que escribir el cociente como un producto:

Método de integración por partes explicado e integrales resueltas. Análisis de una variable.

1. Identificamos \(u\) y \(dv\)

Como en las integrales anteriores, el logaritmo debe ser el factor \(u\).

2. Calculamos \(du\) y \(v\)

Método de integración por partes explicado e integrales resueltas. Análisis de una variable.

3. Aplicamos la fórmula

Método de integración por partes explicado e integrales resueltas. Análisis de una variable.


Muchas veces, tenemos que despejar la integral de la fórmula de integración por partes como hacemos en la siguiente integral.


Integral 6

Método de integración por partes explicado e integrales resueltas. Análisis de una variable.

Solución:

1. Identificamos \(u\) y \(dv\)

En esta integral no importa cuáles sean \(u\) y \(dv\) porque es irrelevante derivar o integrar la exponencial o el seno. Escogemos, por ejemplo,

Método de integración por partes explicado e integrales resueltas. Análisis de una variable.

2. Calculamos \(du\) y \(v\)

Método de integración por partes explicado e integrales resueltas. Análisis de una variable.

3. Aplicamos la fórmula

Método de integración por partes explicado e integrales resueltas. Análisis de una variable.

Aplicamos de nuevo integración por partes:

Método de integración por partes explicado e integrales resueltas. Análisis de una variable.

Volviendo al comienzo, tenemos

Método de integración por partes explicado e integrales resueltas. Análisis de una variable.

Pasamos la integral del lado derecho sumando al lado izquierdo:

Método de integración por partes explicado e integrales resueltas. Análisis de una variable.

De donde podemos aislar la integral que buscamos:

Método de integración por partes explicado e integrales resueltas. Análisis de una variable.


Integral 7

Método de integración por partes explicado e integrales resueltas. Análisis de una variable.

Solución:

1. Identificamos \(u\) y \(dv\)

Escogemos \(u=x^3\) para rebajar su grado.

2. Calculamos \(du\) y \(v\)

Método de integración por partes explicado e integrales resueltas. Análisis de una variable.

3. Aplicamos la fórmula

Método de integración por partes explicado e integrales resueltas. Análisis de una variable.

Repetimos el proceso dos veces más:

Método de integración por partes explicado e integrales resueltas. Análisis de una variable.

Observad que, por ejemplo, para resolver la integral de \(x^{100}\cdot e^x\) tendríamos que aplicar integración por partes 100 veces.



Integral 8

Método de integración por partes explicado e integrales resueltas. Análisis de una variable.

Solución:

1. Identificamos \(u\) y \(dv\)

Escogemos \(u=x\) para eliminar este factor de la integral.

Recordad que la derivada de \(a^x\) es \(a^x\cdot ln⁡(a)\).

2. Calculamos \(du\) y \(v\)

Método de integración por partes explicado e integrales resueltas. Análisis de una variable.

3. Aplicamos la fórmula

Método de integración por partes explicado e integrales resueltas. Análisis de una variable.


Integral 9

Método de integración por partes explicado e integrales resueltas. Análisis de una variable.

Solución:

1. Identificamos \(u\) y \(dv\)

Escogemos el logaritmo como \(u\).

2. Calculamos \(du\) y \(v\)

Método de integración por partes explicado e integrales resueltas. Análisis de una variable.

3. Aplicamos la fórmula

Método de integración por partes explicado e integrales resueltas. Análisis de una variable.



Integral 10

Método de integración por partes explicado e integrales resueltas. Análisis de una variable.

Solución:

1. Identificamos \(u\) y \(dv\)

Elegimos \(u=arccos⁡(x)\) y \(dv=dx\).

2. Calculamos \(du\) y \(v\)

Método de integración por partes explicado e integrales resueltas. Análisis de una variable.

3. Aplicamos la fórmula

Método de integración por partes explicado e integrales resueltas. Análisis de una variable.


Más problemas similares: 21 integrales resueltas por partes.




Problemas y Ecuaciones ©